真空容器充气时间计算公式
真空冷冻干燥结束时,需充气取出工件。向真空容器内充气时间的计算,真空技术网曾经给出了计算公式。作者在利用这些公式计算充气时间时发现了不合理的现象: 充气过程开始慢、中间快、结束时慢,因此对这些公式的适用范围产生了质疑。本文从壅塞流的角度,认为真空技术网提供的公式仅适用于亚音速充气过程,并推导出了音速充气与亚音速充气时间的计算公式、简易计算式,供大家参考、讨论。
壅塞流简介
当通过阀孔向真空容器内充气时,给定气源压力为大气压,真空容器内真空度越高,流速越大,当流速达到音速时,会产生压力突变, 流速不再随真空容器内真空度的升高而增加,保持音速充气。
真空容器充气时间计算
研究表明,当气源压力与真空容器内压力之比大于临界压力比时,充气过程为音速充气过程,反之则为亚音速充气过程。对于空气,临界压力比约为1.9(1/0.525)。真空冷冻干燥过程结束时的充气可视为气源压力为101325Pa,容器压力为0.5Pa的充气过程。压比远大于临界压力比,因此,此充气过程为先音速充气,后亚音速充气。容易证明,大气压下的空气通过阀孔流入真空容器时,不论真空容器内的压力如何改变,流动状态只能是粘滞流。在粘滞流状态下,气体流经小孔的流量为
式中A—— —充气阀孔截面积,m2
Pa—— —大气压力,Pa
P2—— —真空容器内压力,Pa
K—— —绝热指数,取k=1.4
R—— —气体常数,8.3143J/(K.mol)
M—— —气体摩尔质量,kg/mol
T—— —气体温度,K
Q—— —流量,Pa.m3/s
真空状态下流量公式为
式中P—— —容器压力,Pa
V—— —气体体积,m3
t—— — 时间,s
音速充气所需时间
音速充气时,充气流量为定值,由式(2)知容器压力与充气时间成线性关系。因此可以很容易的推导出音速充气时间计算公式:
式中t —— —充气时压力由P0上升到P所需时间,s
P0—— —真空容器充气前初始压力,Pa
P—— —真空容器充气后压力,Pa
Qc—— —音速状态下流量,Pa.m3/s
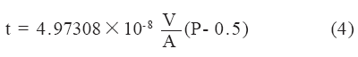
对于20℃的空气,P0= 0.5Pa可得到简易计算式:
当然式(4)成立的条件是P/Pa≤0.525。
对于式(4),令P=0.525Pa,就得到音速充气的总时间:
亚音速充气所需时间
对于亚音速充气过程,由式(1)可知,充气流量与真空容器内压力有关,但某一时刻,流量可视为定值,因此可用积分求取。式(2)的微分形式可表示为:



















本篇文章推荐了几类基本特征的高抽真空设备图:用吸附泵和钛泵串联为主导泵
真空泵馈口有所作为EAST最新科技化合物旋回蒸汽加热(ICRF)无线天线最要点零部件组成,
流导是以在企事业单位差压下,交界蒸汽管道电子器件气用户的尺寸大小。流导可能也称