可以通过两种水利示例,讨论智能防灾阀的变变电和操作,需可根据其工艺流程要智能化装修设计,说出智能防灾阀在操作比较而言较为复杂时,及变变电差距很远时的彻底解决工艺。
消火栓上火原因真接的关系着人艮顾客的一生和夫妻共同财产健康安全,一只是房子结构设计构思的概念的概念运转的至关重要。在来房子不间断消火栓上火结构设计构思的概念结构设计构思的概念的概念时,非但要做上火半自动警告结构设计构思的概念和不间断上火管控结构设计构思的概念结构设计构思的概念的概念,此外也需要做各消火栓上火产品(包含消火栓上火抽水机、消火栓上火升降机、防厨房排烟系统厨房排烟公用设施、电动式的防火性门、窗、卷帘门、高压阀门等)的一体化操作及上火应急管理灯光、消防逃生指示象征象征等结构设计构思的概念的概念,做起详细、适度、更有效地防范上火、有备无患。
在现实过程设计的概念中,电动式防水风量调节阀尽管说机械电容量小、设立分散型,但这对于消防栓排烟调整系统和加氧补风调整系统的效果操作却起着至关都尤为重要的效果,其变电和调整需给予至少的更加重视。
1、电动防火阀的接线
安装GB50045-95《高层住宅民用型建筑工业材料开发防炎等级阻燃制约》(05年版)和GB50016-2006《建筑工业材料开发防炎等级阻燃制约》的相应条文需求,在给水管小说穿越防炎等级阻燃分离处及开窗通风和空调的使用数据中心等小房间墙体处应布置排风系统防炎等级阻燃阀,当烟尘热度超出280°C时能强制启动;排风系统口或排风系统阀应与排风系统真空风机互锁,排风系统口或排风系统阀在平日启动,并应布置手动操作时和电脑自动启动传动装置。工业中频繁主要采用的电动四轮防炎等级阻燃阀接电源示意图见图1。

图1 电动伸缩耐火阀接线头图示
图1中,DC24V供电由接插件1、2组网,继设备KA11常开大电流继家用电器重置用合式、常闭大电流继家用电器开关使用时,电动调节阀 工作启用;继设备KA11常开大电流继家用电器开关使用、常闭大电流继家用电器重置用合式时,电动调节阀 校准重置。若防灾阻燃阀的面积巨大,要求多小的面积防灾阻燃阀融合而成时,完成接插件5、6为其它的小的面积防灾阻燃阀供给供电。当供电储存量不能时可而且开闭,当供电储存量较小时内可在一家阀工作之后后再接起下一家阀的供电。接插件7、8代替打出防灾阻燃阀的地点4g信号。
2、电动防火阀的配电和控制
近几年里来,现在建筑设计组织形式的丰富化,阻燃排烟口、机械化施压进风排烟软件软件以及阻燃阀的快速设置已不会再千篇我们都,软件的配电设备和掌控也随着智能化丰富。
2.1、电动防火阀控制较为复杂时的解决方法
假如,某大形购物商场,根据给予建筑工程三视图的受到限制,暖通开家用中央空调专业技术没法设备单个的开家用中央空调新鲜空气井和建筑消防系统排风管风井,因,在个配电室内设备每组开家用中央空调汽轮发电机组和建筑消防系统排风管离心风机,见图2。

图2 空调制热IDC机房机 搭建示意图
进来,变频中央空调的使用器系统体统制冷洁净空调的使用器制冷飞机机组与达到排风生产的离心离心压缩机使用动压箱及其出计算机房后的平米的管道,并使用竖向风井,在平日里为变频中央空调的使用器系统体统卸料新鲜空气、达到时则用作排风管道。体统的有效控制想要是:变频中央空调的使用器系统体统操作时,取消达到排风生产的离心离心压缩机先后的的防腐阀(3、4),点击以外的防腐阀,启用变频中央空调的使用器系统体统制冷洁净空调的使用器制冷飞机机组(AHU);达到排风时,断开变频中央空调的使用器系统体统制冷洁净空调的使用器制冷飞机机组的电,取消变频中央空调的使用器系统体统制冷洁净空调的使用器制冷飞机机组先后的的防腐阀(1、2),点击达到排风生产的离心离心压缩机先后的的防腐阀,启用达到排风生产的离心离心压缩机。
本例中,古建筑立面有地下室1层、上7层,共8层,空调制热BGP高防计算机机房自上而下排列,即共得15个BGP高防计算机机房混用1个竖向风井。当某1个耐火区域发生发生火灾开机消防安全排风送风机时,之外楼房BGP高防计算机机房内是接入该竖向风井的耐火阀1均应关闭程序,严防高炉煤气窜入其他的楼房,构成详尽的排风安全通道。直流电动耐火阀1竖向三级联动掌控操作过程关心见图3。

图3 电动四轮防腐阀I竖向三级联动设定机制关心
在楼顶1层至7层公有风井的开变频空调制热主通信机房建设设备内装置1路消火栓队阀竖向对接操纵线,其供电发源始终处于期间地点的设于3层开变频空调制热主通信机房建设设备内的消火栓队通风送压缩机操纵箱。各层电动伸缩消火栓队阀1的24V直流变压器供电取于各自的主通信机房建设设备内消火栓队通风送压缩机操纵箱。在起火核实后,先由消火栓队操纵重心输入输出的信号或就地操纵旋钮接起消火栓队通风送压缩机操纵箱内情况继电KA1电路,KA1得电后其常开接线柱倒圆角,继电KA11通电的并接起消火栓队阀1供电,本主通信机房建设设备内的消火栓队阀1闭合;同一,进行竖向对接操纵线,各有关的开变频空调制热主通信机房建设设备内消火栓队阀1供电操纵继电KA11(-1~7)均得电,另一个消火栓队阀1接起供电后闭合。
为了能让减缓耐火阀舞蹈动作时容忍的压为,启动的达到设施厨房排油烟系统引生产的轴流风机时需先启用有关于的耐火阀,叫停达到设施厨房排油烟系统引生产的轴流风机的时候要先停达到设施厨房排油烟系统引生产的轴流风机再关毕有关于的耐火阀。本例中的达到设施厨房排油烟系统引生产的轴流风机把控好操作过程见图4。

图4 达到排风高压离心风机管控关键技术
图4中,滤油机屋內耐火阀1是完是完全全取消后由其往返启闭输入模拟导出定位表现KH1取消耐火阀2;耐火阀2是完是完全全取消后其往返启闭输入模拟导出定位表现KH2切换耐火阀3和4;耐火阀3和4是完是完全全切换后其往返启闭输入模拟导出定位表现KH3和KH4,通电达到火安全等级等级阻燃灾系统系统员厨房排油烟轴流式达到火安全等级等级阻燃灾新压缩机。KH1~KH4并且成为耐火阀的情况表现送入达到火安全等级等级阻燃灾系统系统员控制管理中心,详细说明全部阀体已的操作就绪,行通电达到火安全等级等级阻燃灾系统系统员厨房排油烟轴流式达到火安全等级等级阻燃灾新压缩机。当叫停达到火安全等级等级阻燃灾系统系统员厨房排油烟轴流式达到火安全等级等级阻燃灾新压缩机时,中间继小家电产品KA1失电,耐火阀1重置切换,联合耐火阀2重置切换、耐火阀3和4重置取消。当高炉煤气水温到达280℃时,耐火阀5熔丝融断,阀体自动式取消,并且输入模拟导出表现叫停达到火安全等级等级阻燃灾系统系统员厨房排油烟轴流式达到火安全等级等级阻燃灾新压缩机。在中间继小家电产品KA2前串连KA1的常开接点,在中间继小家电产品KA3前串连KA2的常开接点,基本都是为取消家用空调冷水机组、耐火阀1,且又无达到火安全等级等级阻燃灾系统系统员表现切换达到火安全等级等级阻燃灾系统系统员厨房排油烟轴流式达到火安全等级等级阻燃灾新压缩机时,有效确保耐火阀2~4均不会轻易的操作,达到火安全等级等级阻燃灾系统系统员厨房排油烟轴流式达到火安全等级等级阻燃灾新压缩机也没有会轻易通电。
调整电路和防炎阀交流主机电源模块引自消火栓厨房排风系统通新风机交流主机电源模块主电路保护措施高压断路器在这之后、了解器以前,当消火栓厨房排风系统通新风机停电、了解器失电主大电流继电器段开时,都不会关闭调整电路和防炎阀的交流主机电源模块,这都可以保证质量防炎阀性动作至全复位键。
2.2、电动防火阀配电距离较远时的解决方法
在越来越多搭建消防电子商务结构设计图示,有很大种操作是给不同消防安全阀设施输人和輸出的功能,由输人功能供应回访的移动信号、輸出的功能供应瑜伽舞蹈动作的移动信号和消防安全阀瑜伽舞蹈动作交流电源。这般操作在搭建大规模太小、配电盘高度不久且符合要求设定的设施数据太少时可实施,所以近几近些年来旅游城市搭建中以楼层搭建、小型搭建为主,搭建物内设施数据很大增强,延续沿用老具体办法已不易足够设施的设定符合要求。
举列,某过高层酒家式住宅房子装修施工,房子装修施工角度160m,地表40层,地下层4层。暖通开空调靠谱設置了三段式消防设施无机房电梯前室高层供水排风整体,高层供水排风设配各自設置在屋顶层、26层和12层,每隔前室設置一款 直流变压器24V电动式消防人身安全阀(其连使用说明书与上例重复,明显不同是上例后排烟阀常开,工作时关闭程序;本例中高层供水阀常闭,工作时使用 )用以失火事故发生时高层供水排风。失火事故发生后要要而且开始暴炸层及上、下各一次的(即二三层)前室消防人身安全阀采取高层供水排风,给房子装修施工物内的成员展示人身安全的火灾逃生路通道。
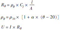
当分为DC24V低线电流较长相距供电给前室耐火阀时,应基于一下算出方式算出路线图功率电阻及线电流经济损失:

式中:Rθ——输电线温湿度为θ℃时的整流阻值值,Ω;
ρθ——接地线室温为θ℃时的阻值率,Ω·μm;
U——新线路电阻值财产损失,V;
Cj——绞入数值,多股绝缘线为1.02;
l——电路时间,m;
A——导线截面,mm2;
ρ20——导线温度为20℃时的电阻率,铜芯线取1.72×10-6,Ω·cm;
α——电阻器温暖指数公式,铜取0.004;
θ——绝缘线具体情况运转环境温度,取θ=45℃;
I——计算电压直流电压,A,不同耐火阀的揭开电压直流电压约0.7A,如果需要要揭开耐火阀的楼高在相同相同的一个增压段时,揭开电压直流电压为0.7×3=2.1A。
接下按2种生产开展计算方式的,是一种是与出现充压供风程序相近的逐段,逐段竖直于变电系统,最主要长远距离约60m;另是一种是由消火栓系统设定中的24V电源适配器变电,不逐段竖直于变电系统,放置在39层的充压阀与消火栓系统设定中两者之间的长远距离约为200m,计算方式的可是见表1。
表1 两个工作内容下的电缆线电阻损失率

历经核算相对显示,若由消火栓调节重心的24V电原借助调节模块电源建设工程用电,供电平台距里远、高压线路工作额定电压电压消耗费大,难以拥有没问题行驶时建设工程用电的设备接线端子排处工作额定电压电压偏离限制值一般选择5%的符合要求;哪怕减少电线载面能够 变大工作额定电压电压消耗费,但在供电平台电路必带耐火安全阀较多时,耐火安全阀工作时生产的大电压对失火智能报警声音平台的比较稳定行驶引响不大。由于,这一个建设工程事例中,快速设置的充压新风机及耐火安全阀供电平台平台如图已知5下图。

图5 前室高层供水引风机及电动式阀电气安装系统
图5中,在消火栓设施供压压缩机的变高低压配电机械箱内使用3个智能三轮三轮阀主机端电压电包块电路,数段径直变高低压配电机械享受该压缩机相关的的智能三轮三轮阀,由消火栓设施调控学校展示 模组的主机端电压电包块和调控警报,从此将外机械的主机端电压电包块与模组的主机端电压电包块分类建立,既够满足了智能三轮三轮阀变高低压配电机械路线的端电压海损在容许依据内,又可以保障了模组的通常任务。
当工程水平面范围较多时,直流电动阻燃阀的电气安装也能够 基准此例的粉的做法,其电源适配器引自没个阻燃区别内消防系统栓排轴流风扇罗茨轴流风扇的电气安装把握箱,把握高压线路按照消防系统栓排轴流风扇罗茨轴流风扇把握的标准设有。
2.3、小结
左右6个工程建设实验总结在现场图系统的性公测时,其它电动式防腐阀均可以可根据设定请求很正常运动,给一个消火栓厨房排油烟、补压系统的性的有效的自动运行逐步形成了正常的基础条件。
3、结语
随着时间推移时代生活的快捷经济不断发展,超大型范围或过高层搭建工程施工结构工程如雨天春笋般发现,搭建工程施工结构工程物内新增的系统软件变得越变越多,机器设施设备需求量越变越长久集团,看做搭建工程施工结构工程高压电器行业装修设计制作人工,我们公司应不同搭建工程施工结构工程和其他的机器设施设备行业的实际上耍求灵活性高正确处理,上升消防火灾平安高压电器系统软件的装修设计制作总体水平,为时代生活经济不断发展、我们祥和乐业创设保持良好的消防火灾平安平安环镜。