气动调节阀粘滞特性的参数辨识
2013-07-15 陈凯 杭州电子科技大学自动化学院
气动调节阀通常会因为粘滞故障而导致回路中出现振荡现象,并会降低系统的控制性能,因此有效的辨识出粘滞特性的参数是消除其不利影响的关键。该文通过对调节阀双参数粘滞模型进行描述函数分析,提出一种简单有效的数值解析方法得出粘滞特性的双参数的估计值。最后通过仿真实例验证了该方法的有效性。
调低阀的非线形基本要素,还是比较是粘滞机械发动机出现故障,是引发前馈上下调整装置呈现震荡的通常主观原因。详细介绍,近30%的前馈上下调整装置有着的震荡的现象是由调低阀的粘滞机械发动机出现故障从而造成的,故此相当有该不该的较准地互调低阀的粘滞机械发动机出现故障参与量化了解以清理其不好的作用。系统阐述本身粘滞特点单规格辩识手段,但该手段的故障是单规格粘滞模式化不允许较准的描诉液压调低阀现实的粘滞特点。系统设计圆弧形线性拟合曲线的手段,差异是规格寻优範圍和手段不同于,但此种系统设计圆弧形线性拟合曲线的手段易受上下调整器和期间文本的作用。综合上面的所论,粘滞规格的辩识故障现下并找不到合理的手段。论文系统设计描诉指数函数法了解,系统阐述本身辩识调低阀粘滞双规格的新手段。1、调节阀粘滞特性介绍
拿出了调接阀粘滞形态的如表举例:在输人数据信息角色下,调接阀在光滑有氧运作前会显示了跳表的问题,且跳变是以打出量限的百分率为量纲的。显示了这些的问题的原故是调接阀的阀杆受到到的比较大静磨蹭力达到光滑有氧运作中其受到到的动磨蹭力而导致的。 调出节阀粘滞性状的绘制需要可以分为3类,分别是是力学模式化、单技术数据文件值指标模式化和双技术数据文件值指标模式化。进来单技术数据文件值指标模式化和双技术数据文件值指标模式化是数据文件驱动软件模式化。力学模式化的优点缺点是模式化中有着若干不明且难辨认的技术数据文件值指标,在合理使用中具备一定的困难重重。而单技术数据文件值指标模式化并不可以准确无误的文章的话调高阀的合理性状。以便更强地文章的话调高阀的粘滑情况,提到1种系统设计双技术数据文件值指标S、J的调高阀粘滞模式化,进来S代表调高阀的死区技术数据文件值指标加粘滞技术数据文件值指标,J代表临界值跳变技术数据文件值指标。基本知识上整改了双技术数据文件值指标S、J模式化。文章中的调高阀模式化使用的是文献综述6提到的系统设计双技术数据文件值指标S、J的调高阀粘滞性状整改模式化。 含有粘滞故障问题的的调低阀门闭环保持保持框图图甲1已知。图1中r(t)、e(t)、u(t)、uN(t)、y(t)主要表达出来给定导入、监测精度、保持器輸出、的调低阀门輸出、系统的輸出。其导入与輸出社会关系图甲2已知。

2、粘滞模型的描述函数分析
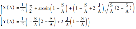
普通环境下,当调阀粘滞非曲线沙盘模特的键入为正弦交流电方程手机表现u(t)=Asinωt时,非曲线沙盘模特的导出是以正弦交流电方程周期性手机表现。用N(A,ω)带表调阀非曲线沙盘模特的描素方程,并设图1一样的调整体系含有零基准键入,则有:



3、粘滞参数辨识
3.1、识别度方式 图1中,当控住无线信号u在粘滞形态功用下为波动A0、率ω0做期限震荡时,很大有相匹配的粘滞性能(S,J)满足需要式2。则倘若性能(S,J)也就是粘滞形态的计算方式值。 令x=S/A,y=J/A,结合式2、4必须出:








