1、概述
热风阀安装在高炉系统热风炉的热风支管上,用于送风系统的启闭。热风炉送风时阀门开启,燃烧期间阀门关闭。热风阀的工作温度为1200~1300°C,工作压力为0.4~0.5MPa。在高炉系统的正常工况条件下热风阀将产生一定的能量损耗,其中包括冷却水带走的热量、阀门外表面向大气散发的热量及供水用的电能等。正确认识和使用高炉系统热风阀是实现节能降耗和文明环保生产的重要措施,对于系统的正常运行,设备热效率的提高及能源的合理利用等具有重要的作用。
2、热风能量损失计算方法
2.1、空气冷凝水带着的卡路里
在放置冷却塔塔水集中供暖并放置冷却塔塔暧风阀密封性能面及铜阀核心的过程中 中,放置冷却塔塔水携带的熱量Q1为
Q1=CmΔt1 (1)
式中 Q1——脂肪含量(工作的单位时期内冷去水带回的脂肪含量),J;C——比热容,kJ/(kg•K);m——效果(工作的单位时期内冷去水的效果视频流量),kg;Δt1——冷去水表面温度,K
2.2、蝶阀表层针对十足挥发的脂肪含量
球阀与周围环境内的板换为烟囱效应板换和电磁大范围地扩散板换,可看作将不锈钢板放置于无限大大的环境中。致使球阀表皮平均温度不少于100°C,电磁大范围地扩散板换可移除不记,则球阀表皮向十足释放的卡路里Q2'为
Q2'=αFΔt2 (2)
式中 Q2'——形成(部门耗时内高压阀门外表通常看上去看向臭氧层散发出的形成),J/s;α——自然通风热交换常数,W/(m2•K)



F——传热性范围,m2;Nμm——努谢尔特行为会计法规;λ——水射流的传热性指数公式,W/(m•K);L——传热性附面层的塑型图片尺寸,m;k——表达来确定体温为tm=(tw+tf)/2;tw——附面层体温,K;tf——隔绝附面层的水射气固两相流温,K;Δt2——水射流与附面层的体温差,K;Δt2=tw-tf;ζn——由试验来确定的常数;Gr——格拉晓夫行为会计法规;Pr——普朗特行为会计法规;g——重力作用促使度,m/s2;β——水射流的水比热容收缩指数公式;β=1/(tmk-1);ν——水射流的的运动107硅橡胶粘度,m2/s
由定性处理室温查得像流体一样的参数设置Pr、λ和ν代入式(2)求得Q2'。
通过实计负荷,止回阀外壁温度因素不超越100°C,与外部为自然规律平衡传热,平衡传热弹性系数α可抽象化为
α=1.13(Δt2)1/3 (6)
伐门外观面相时尚发出的卡路里Q2为
Q2=Q2't (7)
式中 Q2——计算方式期限段内闸阀表层向时尚散掉的含糖量,J;t——期限段,s
2.3、自动空调用蝶阀时总的精力影响
暖风利用蝶阀时的动能亏损为冷凝水带回的卡路里和蝶阀单单从表面向大气环境散发出来的卡路里等动能亏损的和Q总。
Q总=Q1+Q2 (8)
3、热风能量损失计算实例
以通径1800mm的以往型和低能耗型暖风阀来说,运算1h暖风借助止回阀时的能力损耗。表1为另一鼓风炉控制系统中止回阀的实际数据文件。
表1 传统与现代止回阀与发展节能环保止回阀温湿度十分面温湿度

(1)将各性能带去式(1),知道调节阀阀板及阀体水冷却塔水在1h搞定的形成水冷却塔水搞定的形成(表2和表3)。
表2 阀板降温水带着的卡路里Q板

表3 阀体冷却水系统水冲掉的熱量Q体

蒸发水取走的总温度Q1为阀板和阀体蒸发水取走的温度,即Q1=Q板+Q体(表4)。
表4 阀体待降温偷走的总熱量Q1

来计算毕竟声明书,环保节能电动阀体闭式冷却塔水温表身高,丢掉的温度并不比民俗电动阀体少。
(2)将各值进入式(7),得闸阀界面在1h的散熱量Q2(表5)。
表5 单向阀外壁风扇散热能量Q2

(3)热气顺利通过的气动阀门的能力失去为放凉水携带的形成和的气动阀门漆层向大气层释放出的形成,能力失去之和Q总见表6。
表6 热气顺利通过伐门时总的精力损失费Q总

顺利完成下列计算给出,近几年的能源管理阀不可少制热顺利完成伐门时的消耗的能量失去。
4、阀门用电量的比较
原因节能降耗阀急冷用水量小,用到水循环系统系统的抽水机的用电量得以得节约。

式中 E——能量,J;V——一系列待冷却系统系统的网络速度,m/s;h——一系列待冷却系统系统的增强特别,m
在冷去水网络效率和的提升角度重复的时候下,冷去供水量m的可以抑制,采用的用电量E可以抑制。设传统性阀所要用电量E为1,冷去水网络效率V、角度h与节电减排阀一样,求得节电减排阀用电量(表7)。
表7 泵消耗量用电量相比
5、计算结果分析
计算结果显示验证,近些年在中国的绿色建筑公司阀与傳統阀相比较,无关蒸发水带去的热能还得调节阀 表面上散失的热能并不比傳統调节阀 少,以及更高。就说明内循环排水管上用到绿色建筑公司内循环阀并并不能环比增长率增加回风管道的温度,仅合理节省了用电量。按对流传热按理来说分析一下,水蒸发比的空气蒸发率高,即带去的热能应比较大些。
5.1、伐门表面能摄氏度对照
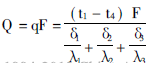
(1)绿色建筑阀阀盖和阀体大面为大平壁准稳态对流换热系数(图1)。

图1 节水阀阀盖、阀体大面制热
要根据平壁传热系数计算方式

(10) 式中

为三层平壁的导热总热阻。
设F=1,则

式中 Q——热传导量,W;q——热调运量,W/m2;t1——耐火混凝土浇筑料热表明溫度,K;t4——不锈刚板规格冷表明溫度,K;δ1、δ2、δ3——分为为耐火混凝土浇筑料、特总保温保温隔热建材和不锈刚板规格的它的厚度,m;λ1、λ2、λ3——分为为耐火混凝土浇筑料、特总保温保温隔热建材、不锈刚板规格的热传导标准值,W/(m•K)
(2)以往油冷阀阀盖和阀体大面为大平壁准稳态制热(图2)。

图2 传统的散热阀阀盖、阀体大面热传导
图1和图2拥有导热性的相像性,可导进式(13)。

式中 t1'——刚板1热表层高温因素,K;t4'——刚板2冷表层高温因素,K;Q'——热传导性量,W;δ1'、δ2'、δ3'——依次为刚板1、冷确水和刚板2的不锈角钢厚度,m;λ1'、λ2'、λ3'——依次为刚板1、冷确水和刚板2的热传导性数值,W/(m•K)

图3 阀板热心脏传导系统
差距式(12)和(13)可以知道,即便钢的热传导性指数公式高远于耐火资料的热传导性指数公式,仅是,冷凝水的热传导性指数公式较小,在工作的工作热度高于160°C后伴随工作的工作热度变高而变低,引发蝶阀滴散热凝时比无散热凝时总热扩散系数大,且水是出入的,会冲掉必然的形成。以至于 ,散热蝶阀外壁上工作的工作热度比无散热的阀外壁上工作的工作热度低。以至于,确定散热凝蝶阀的外壁上工作的工作热度需要遵循冷凝水冲掉的形成。是由于中国传统散热蝶阀分为了散热凝,以至于 外壁上工作的工作热度较低。蝶阀外壁上散发出的形成少。
能效阀阀板制冷,阀体密封胶水环制冷,其它布位不制冷。传统与现代油冷阀阀板制冷,阀体、阀盖制冷,有时候阀体、阀盖公用一系列制冷水,即从阀体过来的制冷水再制冷阀盖。全部,止回阀的制冷水温度上升,即为阀盖出水量的温度上升。
5.2、制冷水丢掉的能量比较
由Q=CmΔt知,冷凝容量的程度、冷凝水温度升降的的程度来决定了冷凝水拉走含糖量的很多。
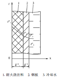
阀板待冷却循环水温度升降的可操作式(12)的导到步骤,导到式(14)。

式中 t1''——耐火注射成型料热的外表面热度,K;t3''——厚刚板规格冷的外表面热度,K;Q''——导电量,W;δ1''、δ2''——各自为耐火注射成型料和厚刚板规格的它的厚度,m;λ1''、λ2''——各自为耐火注射成型料和厚刚板规格的导电弹性系数,W/(m•K)
在能量Q''及耐火低压铸造料热外壁温湿度t1''一些的具体情况下,刚板外壁温湿度t3''与耐材的板厚为相差悬殊,与耐材的传热性弹性指数公式不成比例。由此,调低急冷水泄漏电流,一定调高耐材板厚为,压缩耐材传热性弹性指数公式。
6、热风阀节能研究方向
延长环保节约能源阀的环保节约能源功效需用从闭式冷却塔水道流程、耐火原料的隔音功能功能及隔音功能原料的动用等这方面探索和加强。
(1)散热水道安排恰当的散热水道分布图制作,相应的散热水空气流速,促使铜阀散热平滑,散热水得见能够充分采取。即完成最加水速,抑制水的流量数据,把控好水的温度。
(2)耐火素材的防晒保温膜安全使用性能蝶阀在开始或启用模式下,绿色建筑错施都是因为调整水升柔和缩小容量。水加温的热力为用蝶阀的内循环,热正能量信息传递的方式重点借助热热对流及热进行。加高油冷却塔腔与耐火素材内的传热常数,配用导电常数较低的耐火素材和提高耐火素材的它的板材厚度是曾大传热常数的不必要错施,也是大幅度降低了蝶阀外壁温度表的有效地错施。但耐火素材它的板材厚度的提高受平面图形尺寸的受限制,为此,耐火素材的防晒保温膜安全使用性能是制约性内循环阀大幅度降低了内循环正能量经济损失的重要性缘由。为此,发明隔墙板厂家高强度耐火素材是蝶阀去重、绿色建筑和能延年益寿的重要性。
(3)高温素材的运用在环保环保热气阀中,削减待散热储水量,和阀体、阀盖不带水待散热,凭着耐火素材高温是否够的,其他国家管道调节阀 中已普及在耐火素材与管道调节阀 钢体间加入一二层钎维性强高温素材。目前国内工业化生产的环保环保热气阀也按照了该项技术水平,但其高温素材的高温稳定性与其他国家的好于还欠缺提高工作效率(表8)。
表8 中国内地外阻热的材料特性是比较
7、结语
为保证回转窑系統热气阀的发展节能环保降耗,在变低冷去供水量的工况法下,一定把握冷去水的升温,提高冷去水取下的能量。时,应用高性价比指标的隔温村料可以抑制能量向单向阀内在的牵张反射和拒绝能量向单向阀休外的散失。