根据循环发电工程中大型煤气压力调节阀的实际结构和工作条件,建立调节阀流固耦合系统动力学模型,对调节阀中流体与阀芯的流固耦合问题进行研究。分析不同开度下流固耦合对流体速度和漩涡形成的影响,探讨在大流量煤气压力作用下的阀芯和阀杆的等效应力分布以及变形情况,揭示流固耦合对流场作用于阀芯压力的影响。从流固耦合问题出发研究大型煤气压力调节阀,实现调节阀在流固耦合作用下的结构优化设计,对于提高我国大型调节阀的设计研究水平,具有重要的生产实际意义。
化工厂在研发事情中会发生很多的焦炉和回转窑水电液化气。是为了调低化工厂的总的高能耗和物耗、限制生态环境环保状况,近年来很多化工厂着手开展废水电液化气生制造产发电站厂,迅猛发展反复的经济性。化工厂反复的生制造产发电站厂市政工程项目分为的天燃气轮生制造产发电站厂空气能热泵机组,规定要求读取的水电液化气压安稳性。要怎样推动水电液化气稳压、推动迅猛卡死是化工厂反复的生制造产发电站厂市政工程项目的特征状况。而改善阀的安稳性性很多在于于改善阀内的实验室废气游动,且与游动状态下密切联系相关内容,以至,探索高压阀门安稳性性好怀先也要探索阀内实验室废气游动和其几乎原则性,或文丘里管同固态垃圾的间接能力[1]。改善阀内大流量的水电液化气的游动是更冗杂的非定常立体可压湍流游动,而且新型水电液化气压改善阀型式更冗杂,阀内的游动边缘也较为更冗杂,文丘里管和型式期间合体接面的位形事前未知之数,它们的期间的间接能力是典范的流固合体状况,改善阀内文丘里管与阀芯的此类流固合体能力又的影响到阀内流场的发展空间规划原则性,会造成出合体振动模式、低频噪音,还是发生超常压、载荷等,使改善阀发生各式各样失稳一些问题,直接性的影响到了事情平安。因从流固合体状况去往对改善阀尤为是阀芯和阀杆开展准确的的支承研究分析是改善阀设计方案的决定性前提条件。
历年里来,流固合体疑问愈来愈越遭受到消费者们的特别重要,这运作方面的探索牵涉到有很多行业领域。关与阀的流固合体的探索,文章[2-3]对节流阀通过了流场和格局场的合体研发,探索了节流阀的流场分布图和阀板的支座反力标准。国内这对于流固合体探索特别特别重要,探索最早。在瑞典,有很大半上述知名的高校的土木系都财政投入了烟囱效应固合体的应运探索。20世经70年份近年来,输送热力管道及滤油器控制设备流固合体疑问得到长足进步,在许多3d类别中比较而言有代表着性的是JournalofFluidsandStructures的始创人MPPaidoussis等学界的探索运作[4],美国的GeorgePapadakis[5]提供 了了种改善流固合体疑问的新形式,可应运于预侧输送热力管道的负荷下降。并且,在控制设备合体特点的探索中,阀常成为合体疆界标准外理,常见探索球阀前滤油器控制设备合体特点,或许探索的阀芯常见为锥型或楔形阀芯,在确立3d类别流程中确定了大量的的简单,然而伴随有所地域差异球阀在格局上留存较高地域差异,数千年没得完全专用的探索本体论。创作者要根据循环法生产发电建筑项目里面大型液化气负荷调控器阀的具体格局和运作标准,确立了调控器阀流固合体控制设备冲力学结构3d类别,互调控器阀中流体力学与阀芯的流固合体疑问通过探索。
1、控制方程
从总体性上看,流固藕合目的实际上造成在两相交处表上边,在藕合接壤处水射流和可塑性体具备着是一样的的效率和阻力,这流固藕合的疆界的条件。在式子上的藕合是由两相藕合上边的取舍及分工协作来建立的。
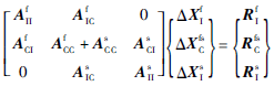
分为局限公司英文元法来近似计算流固合体大问题,即过流体域、结构的域均分为局限公司英文元具体方法来完成离散,分界能力在象限的組合的过程中强逼保持。假定ΔXfs为合体软件系统的局部变量增加量,据点位所在区域物理上的域的不一,得优化后的合体运动式子[6]。

式中:上标f和s对应透露为液体域和成分域;下标C和I对应透露为解耦电路程序界面显示显示处和企业内部顶点上的局部变量;Af、As为解耦电路系統的等效的质量行列式;ΔXfI、ΔXfsC、ΔXsI对应为液体域、解耦电路程序界面显示显示处和成分域内的顶点未指定数向量;RfI、RfsC、RsI对应为液体域、解耦电路程序界面显示显示处和成分域内的惯性力向量。
2、计算模型及边界条件
设定阀内有毒气体的外溢是繁琐的3D可压湍流外溢,设定阀成分图甲1一样,公称通径为240mm,总长为700mm,阀芯口径为200mm。作著前提大液化气的压力值设定阀的事实上成分,确立其3D类别,图2一样为阀芯油管压力值为50%的设定阀类别从对称性面剖开后的壮态,可看清楚里面区成分,阀芯为水射流的压力值和平型阀芯。

图1 自动控制阀举手图

图2 可以控制阀立体模形
只能根据调高阀业务工作,两相流进行概述时以阀芯—阀块—阀体的内流道做模仿求算域,对此阀内气物分子运动为湍流分子运动,对此进行概述时取完全流道,直接为确保安全出口处处处和外贸出口处处两相流单通道分子运动而不引发离交柱,将出口处处处和外贸出口处管各延长时间150mm,长为3表达。图4为调高阀平横型阀芯的立体整治,使用在流固耦合电路进行概述中的格局进行概述。

图3 内流道逼真算起域

图4 阀芯结构类型
流固交叉耦合阐述3d模型和边界线要求基于循环法来发电施工中转换阀的合理成分和要求控制,图5为压力50%时阀芯与运算流道的装精美配图。

图5 阀芯与估算流道的装图片(开启度50%时)
只能根据调高阀在化工厂在使用时的实际上的情况,然气进口商的重压为2.45MPa,而反复火力发发电冷库机组工程项目分为48MW的然气轮火力发发电冷库机组冷库机组,需要复制粘贴的然气的重压约为2.35MPa,对此文丘里管研究时快速设置调高阀渠道和出口到均分为的重压情况,阀芯、阀球和阀体快速设置为竖直交界面边界线情况,原始情况由确定情况决定性。广泛应用K-ε两队程湍流绘图来描素湍流绘图。实现确定,受到流固解耦研究没想到。
3、数值结果与分析
3.1、流固合体对极限速度失量的影响力
图6和7依次为未考量流固合体电路角色和考量合体电路角色时液体在不对称上面的时速矢量图布局,显现了流固合体电路对时速布局甚至液体在调阀内达成漩涡的反应深浅。就能够看出 :当开启度为25%时,流固合体电路反应并面积不大,不管是可否考量流固合体电路反应,时速相当大值都注意会会出显在接近进进出口单侧的节流处,而漩涡注意在阀芯的评论出显;当开启度为50%时,考量流固合体电路时,接近国外单侧的节流处时速有所不为扩增,自动上链的效率降低等不良情况的会出显,但时速相当大处仍是在接近进进出口单侧的节流处,漩涡注意会会出显在发展型阀芯的后侧,而未考量合体电路时漩涡注意会会出显在阀芯的评论;在开启度的重新扩增,自动上链的效率降低等不良情况的会出显,当高于75%时,未考量流固合体电路的流场时速极大值出显在节流口付近甚至阀体的底端,或者漩涡依旧在阀芯的评论,而考量流固合体电路角色时,接近国外单侧的节流口付近时速相当大,漩涡相当特别地出显在阀芯后侧。在气浪在传播方式中出显的扰动,即液体顺利用调阀时所需达成的漩涡和湍流是调阀内出显碳排放量和液体燥声的元凶,顺利用对漩涡和湍流布局的分析一下,就能够蕴含调阀内其他气体传播的不动态平衡会出现伐门的共振,而于中阀杆-阀芯的共振展现比特别的原由,这也进1步原因分析当考量流固合体电路角色的时候析一下数据愈加具有事实。

图6 未综合考虑解耦反应时气体高速度失量图

图7 综合考虑藕合影响时文丘里管高速度矢量图图
3.2、流固交叉耦合对阀芯等效果力的不良影响
调接阀在气固两相流帮助下支承多样化,为此从流固藕合方面入手调出接阀通常是阀芯和阀杆来进行精准的支承阐述是调接阀设计的概念的根本基本前提。图8和9依次为了解流固藕合时平衡点型阀芯的等反应力地理分布和阀芯开裂条件。

图8 阀芯Mises等效果力分布范围

图9 阀芯发生事情
从图8不错见到,等定律力最好值也都是会出现在阀芯和阀杆的连入处,即哪一局部为阀芯的最危害区域中,况且渐渐调阀减少,剪切力值也是不能断减少的,这才是伴随当阀调阀很大时,节流制造的压降对应于比效小,故而使平衡点型阀芯内的各种做工作压力也比很大,在此的阀芯弯矩状况较十分恶劣。图9为在流固解耦效应下的出现压扁状况,这类出现压扁主要是是由效应在型式上的有害气体应力松弛趋势造成的的。实现出现压扁量不错明白在哪里出现压扁及其出现压扁的长度。不错见到:某个调阀下的阀芯和阀杆,其出现压扁量也都是不能不光滑的,最好出现压扁量发生在阀芯的底端。渐渐可以气动调结阀调阀的减少,阀芯和阀杆的出现压扁量不断变大,当正处在小调阀情形时,阀芯和阀杆的出现压扁量值对应于很大,但对应于于阀芯运行价值的长度,出现压扁量还是要可小的。对此来设计中大型各种做工作压力可以气动调结阀时要选择调阀很大的状况、通过非常简要的流固解耦具体分析,以使其在型式上就能够赚取改进,阻止没有效果破环不良现象制造。况且要特别的特别留意可以气动调结阀正处在大调阀情形下阀芯和阀杆的平安,故而能保证阀芯和阀杆的一切正常做工作和运行耐用度。
3.3、流固解耦自然通风场经济压力的引响
流固交叉解耦的优势特点而言固态垃圾变弯不禁决定于运行粘性气流所寄予的受力,但是反起来直接损害粘性气流的运行,于是增加了功效于固态垃圾单单从表面的受力。从阀芯上取不同于角度的2点,其角度如图甲如下10如下,点1设在阀杆上,点2设在阀芯的左下角里侧。依次评估这几个角度在无交叉解耦和决定交叉解耦时的流场经济重压,表1中,p0是未决定流固交叉解耦时该角度流场的经济重压规模,p1是决定流固交叉解耦时该角度流场经济重压规模,(p1-p0)/p0的比重则反馈流固交叉解耦自然通风场经济重压直接损害的规模。

图10 监测点部位

图11 解耦自然通风场经济压力的影晌
表1 监测数据点各种压力变化无常

图11为差异开启度下点1和点2具体部位流固交叉合体电路电路对流传热场压的影晌的情况,报告阐明,流固交叉合体电路电路对差异具体部位的流场压是有影晌的,对点1具体部位即接近阀杆的具体部位流固交叉合体电路电路的影晌很大的,尤其是是当开启度超过75%时,影晌公式超过最高值。因为当开启度为75%附过时,流固交叉合体电路电路对阀杆处流场压的影晌是没有能被忽视的。
4、结论
我们会按照不断循环发电厂项目广州中山大学型燃气压强缓解阀的现场框架和壮态,建造了缓解阀流固合体系统软件的动磁学仿真模型,对缓解阀中像流体一样与阀芯的流固合体状况完成了科研。科学研究分析分析探讨了在各种心理各种重压下,流固合体对强度失量和漩涡养成的决定,蕴含了缓解阀内气休流动量的不稳固会会导致阀杆-阀芯的振动模式主要表现十分强烈的缘故,进一个步骤表明当考虑的流固合体功能时科学研究分析分析探讨结论更非常符合现场;试论了在大留量燃气压强功能下的阀芯和阀杆的等效果力规划同时变型状况,感觉更大等效果力值基本上展现在阀芯和阀杆的接连处,因为方案制作中型压强缓解阀时要对该区域完成更图解的科学研究分析分析探讨,以使其在框架上会才能得到简化,放到出现异常损伤现像形成,但是当心理各种重压极大时等效果力相极大,因为要有点要注意缓解阀正处于大心理各种重压壮态下阀芯和阀杆的应急,进而衡量阀芯和阀杆的合适操作和用到生命;科研了流固合体平衡场压强的决定,感觉当阀的心理各种重压在75%附进时,流固合体平衡场功能于阀杆处压强的决定相极大,并不能轻视的。因为,从流固合体状况去游玩前科研中型燃气压强缓解阀,实现目标缓解阀在流固合体功能下的框架简化方案制作,我们对提供在我国中型缓解阀的方案制作科研标准,兼具很重要的加工现场真正意义。
参考文献:
[1]屠珊.汽轮发电机调节器阀内有毒气体流动性加重的高压阀门时快时慢定义科学研究[D].广州:广州交通银行上大学,2002.3.
[2]严宇,拉力,张钊源.节流阀不起作用的流固解耦分折理论研究[J].能源纸业稳定技术水平,2006,22(2):44-47.
[3]张传涛,单代伟,栾金堂,等.高压变压器孔版式节流阀流固交叉耦合定性分析[J].原油机制,2007,35(10):37-39.
[4]PAIDOUSSISMP,LIGX.PipesConveyingFluid:AModelDynamicalProblem[J].JournalofFluidsandStructure,1993,7(2):137-204.
[5]PAPADAKISGeorge.ANovelPressure-velocityFormula-tionandSolutionMethodforFluid-structureInteractionProblems[J].JournalofComputationalPhysics,2008,227:3383-3404.
[6]钱若军,董石麟,袁行飞.流固藕合方法论分析重大突破[J].空间区域构造,2008,14(1):3-15.