真空计现场校准不确定度分析
给出真空计现场校准的完整不确定度描述,列出了校准过程中详细的影响因素,帮助解决真空计现场校准过程中不确定度的计算问题,并通过实际案例分析,将最终测量结果控制在合理而有效的范围之内。
真空计是用来测量绝压状态下大气压力的仪器,广泛运用于军工、电子、医疗食品、电力、冶金、化工等各种领域。随着科技的发展,行业中对真空计的要求也在不断地提升,精度已普遍达到10-2Pa 左右。由于真空系统是包含真空规管、真空泵(罗茨泵、机械泵、分子泵等) 、各种连接管道以及真空挡板阀门在内的一套完整的测试系统,体积庞大,且在现场安装位置固定,无法实现对真空系统的实验室校准,现代化的集成生产逐渐要求对真空系统进行现场校准。对真空系统的现场校准也是今后真空校准的发展趋势。
高压气计施工当场校对整个过程中很沉要的上说是校对不判定度疑问。致使施工当场必备条件多样,室内环境产品参数不平衡,对此比较于工作室校对,施工当场校对的不判定关键重要因素更大,原因非常复杂性,所需遵循更大的不判定度作用关键重要因素,以要先拿到合适的校对最终。1、真空计现场校准模型分析
下面对于10-3 ~105Pa 的真空计现场校准的不确定度作出分析。
对于那些直播 校正的进口真空计,其校核值的运算数学公式下面:K = pstd - psys - puuc (1)
式中:K 为真空计示值修正值,Pa;pstd为标准压力值,Pa; psys为系统补偿值,Pa;puuc为被测真空计示值,Pa。
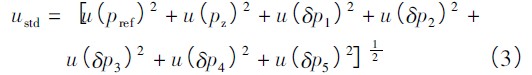
选择关系式(1) 得知,关系重力作用计现象调校的不来确定好度直接会影响核心例如标器、被测重力作用计包括调校控制系统的八个这方面,但其中任何关系量又富含一些个关系直接会影响。下部各就标器、被测重力作用计包括调校控制系统的构建的不来确定好度作专门处理研究分析。 1.1、细则器添加的不确立度 规格负压值pstd由一下公式计算拿到:pstd= pref - pz + δp1 + δp2 + δp3 + δp4 + δp5 (2)
式中:pref为参考标准的示值,Pa;pz为参考标准的零点偏差,Pa;δp1为校准证书给出的修正值,Pa;δp2为示值漂移误差( 多数情况下此值为0) ,Pa;δp3为长期稳定性误差,Pa;δp4为温度波动引起的误差,Pa;δp5为其他影响量引起的误差,Pa。所以,由标准器引入的标准不确定度为:

puuc = pind - p0 + δp6 + δp7 (4)
式中: puuc为被测真空计值,Pa;pind为被测真空计显示值,Pa;p0为被测真空计零点偏差,Pa;δp6为被测真空计漂移误差,Pa;δp7为被测真空计其他影响量误差,Pa。
故,被测涡流计添加的准则不确认度为:
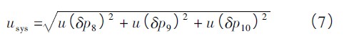
psys = δp8 + δp9 + δp10 (6)
式中:psys为校准系统补偿值,Pa;δp8为由连接件的温差引起的影响量,Pa;δp9为泄漏引起的影响量,Pa; δp10为读数稳定性引起的影响量,Pa。
全部,效正系统性导致的的标准不肯定度为:
![]()
2、实例分析
下方以五只测量方法规范为1~100Pa 的热除极真计現场校正特征分析,算其在10Pa 点的不判断度。在这其中,规范器示数数值10. 213Pa, 系统化补赏数数值0.001Pa,被测机械泵计示数数值10.247Pa ( 表1 ~ 3 设一为对比值,app时以预期示数数值准) 。 表1 标准规定器转化不认定度计算出来汇表表 表2 被测蒸空计添加不确保度表 表3 标准规范软件产生的不选择度表由表1 ~3 计算得ustd =1.09 × 10-2Pa,u uuc = 8.20 ×10-3Pa,usys = 1.30 × 10-2 Pa,其合成标准不确定度为:


















Pirani皮拉尼进口真空计的轻金属圆桶内外具有一白金卡细线,两端链接电极材料
包覆涡流计由平均温度电偶涡流计和热负极电离涡流计包含,电离涡流规
可以通过检验气物中被电离的铁离子流的数值, 敲定气物的压
强。热阴离子
减少式重力作用计是对U型管重力作用计的严重提升,它是保证好乙炔气的波