真空度的表征、单位和真空区域划分
真空度的表征
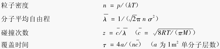
用心理有压力提出重力作用度是由历吏上应用 U 型心理有压力计自动测量重力作用所沿用出来了的,这并不很恰当。在一般真空系统中,通常以各向同性的中性气体的压力这一流体静力学的物理量表示真空度,因此,真空度的测量仅仅归结于压力的测量。但应特别注意测量条件,测量的对象是在有限的容器内的静止(随机运动)、稳态、各向同性单一的中性气体。在这种情况下,麦克斯威速度分布、余弦散射定律和流体静力学压力概念(p = nkT,v= 1/4nc,p = ρgh)都比较符合客观实际,真空度的测量也比较简单容易。
依照机械泵度理解,机械泵度尽量用团伙硬度n觉得,其辞的负担觉得机械泵度与此并不对立。检测的负担时,一般来说混合有机废气气态存在平稳态并实现麦克斯威强度数据分布法则,即p = nkT成为。检测时混合有机废气气态温度表T固定,之故此混合有机废气气态的负担p正比于团伙硬度n。也正是说,这时的负担是团伙硬度的量度,之故此行用的负担觉得机械泵度。在空间研究中,研究对象是无限空间的运动(1 ~ 10kms-1或更高)以及非稳态、综合环境作用下的复杂气氛,此时麦克斯威速度分布定律和余弦散射定律就不一定成立,所以压力也失去了原来的物理意义,真空度的测量比较复杂和困难了。
在一样情況下,以阻力写出真空箱室度是潮流、沿用的,但并并非绝无仅有的,还还要用如下图所示叁数写出真空箱室度:
当真空度很高即分子密度很小时,统计涨落十分明显,如压力 p = 10-12Pa时,统计涨落大于5 × 10-2,压力已失去真实意义。由此看来,在某些情况下,压力只是其他量的相对指示而已。
真空度单位
给出混合固体原子对的表面上撞击而的定义的混合固体负荷,是撞击企事业行业的表面上积混合固体原子动量垂直面参量的时间段转变 率,即企事业行业平数上所受到的力,企事业行业为“帕斯卡”(Pascal),又称“帕”(Pa)。1Pa = 1Nm-2
在工程上有时嫌帕的量值太小,常采用kPa和MPa表示压力。低真空时,有时用“真空度百分数”表示,比如水环式真空泵、往复式真空泵和直排大气罗茨真空泵常用此单位表示真空度。当压力p > 102Pa时,真空度百分数δ为

真空区域划分
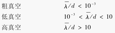
有了量度真空度的单位,就可以定量地表示真空度的高低。但是,目前真空技术所涉及的压力范围已宽达20个数量级,为了使用方便,有时只需要粗略指出真空度的大致范围,通常定性地把真空粗略划分几个区域。划分区域的依据主要考虑真空状态下气体分子运动的物理特性、真空泵和真空计的有效工作范围等。
在我国光于正空度位置的区域划分,《正空度高技术专有名词用语(GB3163—1982)》中中规定下面的:

将高真空和超高真空的界限定为10-6 Pa,主要是考虑真空物理吸附机制只有在压力p < 10-6 Pa时才开始明显,才可由扩散泵抽气获得,由B -A计进行压力测量。至于超高与极高真空的划分界限在10-12 Pa,是因为p < 10-12 Pa时,出现统计涨落(大于5 × 10-2)。
出现的负压系统领域化分,各领域均标识其中一个的负荷规模,因为是近年仍以的负荷标识度。其实,在低负压系统、高负压系统、很高负压系统和很高负压系统中,称作的的负荷是会有其实质差别处,可是另外量的相比较指示灯。 每一个区城的机械泵初中物理性、所配的机械泵泵和机械泵计详情表1。














Pirani皮拉尼真空泵计的材料圆罐内部结构包括一白金卡细线,两端联接电极片
软型抽真空环境度环境计由温度电偶抽真空环境度环境计和热金属电极电离抽真空环境度环境计组成部分,电离抽真空环境度环境规
凭借检测气味中被电离的亚铁离子流的强弱, 制定气味的压
强。热负极
压缩视频式涡流计是对U型管涡流计的巨大问题解决,它是数据理想化气态的波