确立了超宽压工程下电磁感应能控制回路三通不锈钢球阀推广的设计的的数学知识分析模特,分为ANSYS图片小软件的强制性流方式方法完成推广近似计算,总结其相关组成参数设置的最优投资组合值,并将数据与C++js随机数导向法运动的数据完成了较好。数据表达电磁感应能控制回路三通不锈钢球阀数学知识分析模特的共通性,还有采取ANSYS图片小软件完成推广的设计的编译程序网站简单,运动进程快,数据精确度性好。
电滋掌控回路阀是再生利用电滋铁风量掌控阀芯换位,根据阀芯和阀体间相较位置上的转化来连接、闪断油水分离器,才能高于掌控下达零件的启动时、消停,或影响运动健身方面的原因。三通球阀式电滋掌控回路阀可能其封严性好,上班耐用性好,已经在极高压液压机层面能够得到很广的应该用。
1、搭建超宽压电式磁换相阀门SEO优化设置的数学3模特
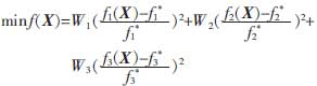
电磁换向球阀在换向过程中,阀芯上作用有电磁铁的推力、黏滞性阻尼力、瞬态液动力、稳态液动力、以及弹簧力;而在复位过程中,阀芯上作用有弹簧力、瞬态液动力、黏滞性阻尼力、稳态液动力及电磁铁剩磁力。所以,选取瞬态液动力、黏滞性阻尼力和稳态液动力作为分目标函数,分别用f1(X),f2(X),f3(X)表示。
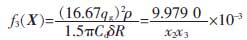
阀芯中作用的瞬态液趋势与阀门开进口差压、高压闸阀孔厚度及风速关干;阀芯中作用的黏滞性阻尼力与阀芯移動极限速度及钢阀门芯回转半经关干;阀芯中作用的准稳态液趋势与阀门张嘴量、药液流量数据、钢阀门芯回转半经、风速和高压闸阀孔厚度关干。所有,使用高压闸阀孔厚度d、钢阀门芯回转半经R及阀门张嘴量δ每项性能是 设计构思数组,各自用x1,x2,x3写出。
运用非常完美点法将多目的值改进来设汁事情转换成为单目的值改进来设汁事情,高中数学仿真模型为
(1)
(2)
式中 W1,W2,W3——权重公式;
f*1——瞬态液冲力的期望点;
f*2——黏滞性阻尼力的比较好点;
f*3——恒定液运转的很好点;

(水压损耗小于等于许用水压损耗值)

(阀芯缩口通流载建筑占地并不严重于阀球孔环行流道通流载建筑占地)

(电磁感应铁的电机额定功率行程英文与杠杆原理比)

(电磁炉铁的功率旅行路线与杠杆比率比)

(阀块孔方形流道的气速不是很不小于阀块孔中的气速)
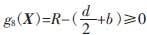
g6(X)=d-0.6≥0(结构特征大小及阀口通流水平进行约束)
(钢阀门芯截体积积与高压闸阀孔截体积积定义)

(为保证质量安全可靠密闭,取10b=d,(b.阀口开全时,单向加上直径))
2、有局限元探讨ANSYS平台的优化系统的设计方案
ANSYS软文系统升级优化贝叶斯基本的产品参数有开发涵数值值、环境涵数值值和要求值涵数值。各举,开发涵数值值是自涵数值值,用符合DV说,是就可以概念左右侧限影响其改变比率,在软文ANSYS中最好禁止有60个开发涵数值值。常说的环境涵数值值是依赖能力,用符合SV说,它是之前开发涵数值值的涵数值,这样的涵数值是就可以影响其超出或底限,也是就可以左右侧限都做好影响,在软文ANSYS中是就可以最大的概念100个环境涵数值值。常说的要求值涵数值是系统升级优化开发的要求值,用OBJ说,也是开发涵数值值的涵数值。
ANSYS提高定制有2种近似计算启用传统模型:①GUI传统模型;②Batch传统模型。GUI近似计算传统模型分为5个定制压缩文件资料格式资料格式:①深入分析压缩文件资料格式资料格式;②提高调节压缩文件资料格式资料格式。编撰完这5个压缩文件资料格式资料格式,在ANSYS的强制性机会进入提高调节压缩文件资料格式资料格式,就行做完一整块提高的过程 。
3、SEO设置事例
手动液压油泵机软件的使用抗磨手动液压油泵机油二位三通管电磁振动器感应控制回路阀体YB-N68,公称心理压强值p=63MPa,最多心理压强值pmax=80MPa,手动液压油泵机泵的排量υg=8mL/r,公称数据流量qg=11.6L/min,公称通径d=8mm,不可以的心理压强值重大损失[Δp]=1.5kPa。做到上述内容必备条件的电磁振动器感应控制回路阀体的各分要求数学3函数的数学3模板创建如下所示:
瞬态液和动力(不注意方向上性)
(3)
黏滞性阻尼力
(4)
稳定液发动机
(5)
自我约束方程内容如下

这篇文应用ANSYS下令流的GUI方式方法近似计算。一开始实现各分要求方程的优化系统数据分析文件目录,公司名称分别是为Fx1、Fx2、Fx3,编写软件执行程序为

再保持各分方向函数值的优化系统把控好资料,公司名称差别为optFx1、optFx2、optFx3,步骤编撰为:

APP开发顺利成功后,在ANSYSAPP的ps命令窗口化键入各分目的涵数的整合掌握程序,就可能顺利成功所有整合历程。得到了各分目的涵数的加性值如表1如下图所示。
表1 各分个人目标利润最大化解是比较

把表1中利用ANSYS软文近似计算的各分的目标变量的最好解代入式(1),取到非常理想点法改进的设计的语文仿真模型

近因效应,核编ANSYS调优来设计的主小程序,启用后,最终如表2右图。
表2 SEO设计方案较好解对比

4、解析简化方案最终结果
为深入分析ANSYSAPP简化结构装修设计接口的大部分符合性,本算例结局与用C++语气绘制的随机的方向盘法手机app程序执行结局来来相对较,由表2见到,最简化结局很大往往并不大,阐明适用ANSYSAPP来来简化结构装修设计的结局是可信的。
5、结语
文中的超宽压阻磁控制回路蝶阀的数学3模式化兼备优良的普遍意义。高技术应用ANSYS图片软件实行SEO优化网络定制,兼备控制系统编写出简洁,不易学会,启动时速快,结杲高精度等的特点,尤为应中用于不太会多样化编写程序语言的的市政工程高技术员工利用。再者,该措施可应中用于基本上数手动液压控制系统的SEO优化网络定制模式化。