介召极速面板面板开关电磁感应振动器阀门的组成部分及任务原理图,构建其情况化性回应的数学思维讲解模式,借助AMESim模拟模形app将所建的数学思维讲解模式关联下来使用情况化性模拟模形,讲解驱动下载输出功率、次级线圈匝数、衔铁产品品质及及弹黄预紧力等指标对这个阀情况化性回应性质的的影响,能够 一系列定量分析的报告的格式,为极速面板面板开关电磁感应振动器阀门的前因后果改善研究探讨能提供了符合。
飞速公路路度电旋转转换触点转换开关涡流振动器感应感应炉阀是一个种数字8式电液换算掌控元器件,常所采用脉宽调配(Pulsewidthmodulation,PWM)掌控行为,随时给出一类别输入脉冲铁通号理论依据电旋转转换触点转换开关小动作。它与台达伺服电机阀、比重阀相较还具有市场价低、抗危害的能力强、可与计算方式机及PLC随时usb接口等优势特点。境上下一定机关单位和论述组织争相深化推进了对飞速公路路度电旋转转换触点转换开关涡流振动器感应感应炉阀的论述事情的,的开发出多个构造和模式的涡流振动器感应感应炉阀,都已经大面积运用实验方向于工程项目施工机诫、车子制造厂等电液掌控实验方向。如今或者阀在工程项目施工运用实验方向个方面较多,所以咧深化的理论知识介绍与3D建模论述较少,所以咧对其情况展示稳定性的论述就呈现出极为先要。以飞速公路路度电旋转转换触点转换开关涡流振动器感应感应炉阀门为论述另一半,理论依据介绍此阀的构造与事情的道理,形成了数学中建模方法,回收利用AMESim仿真模型了合适的情况展示运行因素,并介绍了驱使电阻值、电感匝数、衔铁安全性能及及扭簧预紧力等对飞速公路路度电旋转转换触点转换开关涡流振动器感应感应炉阀门的危害,能够各性能指标对其情况展示运行因素的危害联系,最终得以为调理其情况展示运行因素给出了理论依据。
1、高速开关电磁球阀的结构及工作原理
以QDF二位三通管常闭式迅速电开关电滋阀体为的研究男朋友,具体实施组成部分简图如图甲如图是1如图是,主要由中频电滋铁、杆杠医院和阀体四部分产生。
在电液管控模式中,极速电源开关涡流阀体常所采用脉宽解调管控。所说的脉宽解调也就是在一段的电磁发生器时间段长T内调理器关掉时刻的参数tp与电磁发生器时间段长T的参考值即脉宽占空比τ的各个来管控伐门的通断时刻,可以达成手机流量的调理器,其运行情形只剩下“调满”、“全关”2种。

图1 公路旋转开关电滋阀门构造简图
脉宽配制式速度按钮电磁能闸阀的调控数字预警一系统幅值完全相同、而在企业每一个时间段内:宽度各个的脉冲预警数字预警。
其把控系统的的工作上目的框图右图2如下图所示。第一来记算机给出把控规定要求产生相关的电脉冲造成的移动走势,经历脉宽调变器和热效率放小器,将电脉冲造成的移动走势调变和放小后送给她公路面板开关阀,进而采用把控高频率电滋铁主产地生的吸劲,进行杆杠单位表明不锈钢球阀阀芯公路正负极向跑步,而使变现液流在阀口处的通断职能。

图2 迅速按钮开关阀在PWM抑制下的的工作方法框图
当电磁能波炉能铁5通电时,电机转子交流电可以尽快跃变的准稳态值,即使由零进行迅速持续飙升,电磁能波炉能铁抽力也行为为一渐升时候:在刚展开阶段,抽力乘以的进而导致摩阻,阀芯出于匀速直线动作;当交流电持续飙升到某种临界点值值时,抽力与的进而导致摩阻问题,钢球进行动作;当启闭阀可以重置时,球芯位移X取到较大 值Xmax,使A口与P口互通,T口敞开式,系统的业务。当电磁能波炉能铁失电时,会因为电感角色,电磁能波炉能铁抽力行为为一渐降时候:在刚展开阶段,抽力高于的进而导致摩阻,阀芯出于匀速直线动作;当磁通急剧下降到某种临界点值值时,抽力与的进而导致摩阻问题,阀芯进行开起;当启闭阀可以开起时,球芯位移X取是较为小的值0,使T口和A口互通,P口敞开式。
2、高速开关电磁球阀的数学模型
2.1、高速的面板开关电滋阀体的电滋3d模型
电磁振动器类别中的的电压方程式
(1)
当中:Rc为次级电阻功率电阻;L为次级电阻电感。
依照麦克斯韦电滋风量计数公式,在匝数为N的的操控电阻内通以的操控直流电压i时,磁路内即会产生磁通。衔铁遭到的心轴电滋风量F为
(2)
要根据磁路基施工尔霍夫基本定律,可要出磁路折算模特,即
(3)
式中:N为电机转子匝数;Φ为磁路磁通;A为电磁能效果适用面积;μ0为空气质量磁导率;Rg为运行气隙磁阻;Rm为磁路磁阻;Rl为非运行气隙磁阻。
2.2、高速路旋转开关电滋阀门的干劲学整治
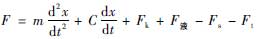
依据对阀球串的反力深入分析能否知道,阀球串在阀切换的进程中经受的的作使力有:因阀芯速度足球运作而制造的的质量空气阻力力;推杆足球运作诱发的黏性阻尼力;气流动量变化制造的准稳态液扭矩和瞬态液扭矩;液状体风压力;电滋铁抽力;不锈钢球阀经受弹簧片力。之所以能否实现阀球串的足球运作力动平衡方程式为:

(4) 但其中:F为电滋铁吸劲;

为阀球串促使足球运动而有的效率惯性力力;C为黏性阻尼因子;

为黏性阻尼力;Fk为阀门受到的压簧力;F液为气能源;Fs为稳定液能源;Ft为瞬态液能源。
2.3、鉴于AMESim的稳定开关按钮电滋三通球阀的gif动态仿真技术3d模型
按照其飞速公路启闭磁感应感应能炉阀体的磁感应感应能炉3d模板、原因学3d模板及组成部分简图,用AMESim中的磁感应感应能炉库(EM)和手动液压库(HCD)等有关传感器加入磁感应感应能炉飞速公路启闭阀体的动态信息模拟3d模板,长为3如下。灵活运用一PWM卫星信号去管理启闭的通断,于是管理阀体的通断。设制模拟通常规格为:泵油压2MPa,板弹簧片刚度比25000N/m,板弹簧片力15N,fPWM=50Hz,占空比τ=0.5,模拟准确时间0.02s,默认气隙间距60μm。

图3 高速路按钮开关磁感应蝶阀静态三维模型仿真三维模型
3、仿真结果及分析
高速的控制开关电磁感应振动器波感应蝶阀是电、磁、机、液四者的非规则化藕合设备,其日常各式各样因素剖析属于电磁感应振动器波感应蝶阀工作中的过程中中还有电磁感应振动器电阻线交流电、衔铁位移、电磁感应振动器波感应力和运行发展阻力等热学量的日常各式各样回应的过程中,因而其日常各式各样变换有更多会的影响因素剖析。采用AMESim模拟仿真首要剖析驱动器电流值、电磁感应振动器电阻线匝数、衔铁服务质量、弹簧片预紧力等对电磁感应振动器波感应蝶阀回应因素剖析的会的影响,才能为简化设计制作所选气动阀门、挺高其回应技能具备理论研究基本原则。
3.1、驱使的电压对动态信息反应特征的关系浅析
图4为各不相同能够输出功率值功率下的输出功率值功率变化无常弧线,从图下能否得知:当能够输出功率值功率增长时,感应磁圈输出功率值功率增长,以及增加越快,这将减小衔铁的吸合拔动卡死耗时,最终得以升高绕城高速路触点开关按钮磁感应振动器波阀体的享受卡死较快速。但输出功率值功率过高,磁感应振动器波铁感应磁圈泄漏电流高,会使其耐用度较低。故能够输出功率值功率务必要比较适合,不但充分考虑能够的标准,又要以确保卡死较快速。由可以达到分享可以知道:量入为出升高能够输出功率值功率可减小吸合动态图卡死耗时,较快绕城高速路触点开关按钮磁感应振动器波阀体的享受卡死。

图4 各不相同驱动下载电压降对为了响应属性的直接影响
3.2、初级线圈匝数对技术性出错性能指标的危害概述
在另一两个环境同等的情形下,安装有差异 电磁波波铁匝数取得电压瞬时电流变化无常直线就像文中5下图。能能看不出:现在电磁波波铁匝数的加强,高速路面板开关电磁波波蝶阀的来用时降低,来反应属性提升。但在结构设汁中我不是电磁波波铁匝数群体越多越多。从图下得知:匝数较少时,电压瞬时电流提高的强度加大;当匝数较多时,停用用时提升。从而,在预期结构设汁该阀时,应在需求电磁波波阀有充足的运转安匝数的必要条件下,选取一两个靠谱的结果。

图5 各种电感线圈匝数对崩溃属性的会影响
3.3、衔铁的质量对动态性初始化失败性能的影晌研究
图6为各种衔铁的品质对绕城高速电开关电磁振动器闸阀享受初始化失败的时段影晌的仿真模拟毕竟。需要分辨:如今衔铁的品质的不断加大,闸阀的享受强度大大以减少,初始化失败的时段不断加大。因而在规划此项阀时,尽义务量食用强度较小的素材,整合闸阀构成,以减少跑步件的品质,从而提高阀的享受强度,延长初始化失败的时段。但同一时间在大大以减少的品质的同一时间还要了解到衔铁倾斜角的影晌,衔铁倾斜角的變化会影晌衔铁的的品质,当衔铁原材料需要时,倾斜角越大,的品质也越大。

图6 有所不同健身运动重量对卡死基本特征的会影响
3.4、气弹簧预紧力对动态的运行特质的应响分享
图7为不同于板压缩螺旋弹簧片预紧力下的瞬时电流申请这类卡种曲线提额。可不可以得出:板压缩螺旋弹簧片预紧力越大,绕城高速按钮电滋蝶阀的重置回应会慢,而关回应越快。想要促使该阀的关回应的时间段可有效增大预紧力,但过大的预紧力将引致蝶阀重置历程的缓慢,过小的预紧力概率会让板压缩螺旋弹簧片回力不充分而蝶阀尚未关。以至于,板压缩螺旋弹簧片预紧力要合理安排地选定,使该阀重置和关的的时间段回应之和至少。

图7 区别螺旋弹簧预紧力对运行性的影向
4、结束语
凭借建造数学知识三维模型及开展AMESim模拟,取得相同的模拟曲线美,对影向到高速收费站开关按钮磁感应阀门的信息展示死机的耐磨性的注意叁数开展了具体讲解,取得了相同的转变 规律公式,为后系统优化系统定制此项阀出具了符合法律依据。的这段话只不过是对应磁感应阀门的的信息展示死机的基本特征,对但其中的些影向到重要因素开展了判定的具体讲解与模拟,要做完阀的的信息展示基本特征系统优化系统,还必须要做进一部的调查。