大口径球阀的探讨
球阀,是应用较为广泛的阀门之一,它出现很早,推广使用较晚。它的工作原理与旋塞阀一样,都是靠旋转阀芯来使阀门启闭的,但比旋塞阀开关轻便,相对体积小,可以做成大口径阀门。球阀密封可靠,结构简单,维修方便,密封面与球体常在闭合状态,不易被介质冲蚀。目前,国外球阀口径已达3050cm,在石油、化工、冶金、轻纺、食品、原子能、航空等部门广泛使用。
1、球阀的分类
蝶阀可以分为两种类:上下式、不变式(见图1)

1.1、浮动式球球阀
不锈钢阀门的球体是滚动的,在材质负荷意义下,球身体素质呈现有一定的位移并紧压在进出口贸易低端封好上面,要确保不锈钢阀门的封好。滚动球不锈钢阀门的构成简约,封好性好,但球体容忍的事情材质的承载力全都发给了进出口贸易封好圈,所以说要考虑一下封好圈的原材料如何经得起受得了球体材质的的事情承载力。这款构成,广泛应用使用中低电压不锈钢阀门。1.2、固定球球阀
不锈钢伐门的球体是确定住的,外压后不存在了中国手机。确定住球不锈钢伐门都拥有变动阀块,受物料压强后,阀块存在了中国手机,使封密圈紧压在球体上,以切实保障封密。基本上在与球体的上、下轴上衣有滚柱轴承,基本操作的的扭距小,不适在进行高压力和大内径的伐门。成了才能缩减不锈钢伐门的基本操作的的最大扭距和加大封密的可靠的情况,近些年里来又存在了油封不锈钢伐门,既在封密面间压注酱藏的防锈液油,以型成一点油膜,即开展了封密性,又才能缩减了基本操作的的最大扭距,更不适用于进行高压力大内径的不锈钢伐门。 选文常见对滚动式大口经阀体的密闭性闸门启闭机扭矩等作粗浅的论述,期盼能对阀体的选用有一些让。2、浮动球阀的密封
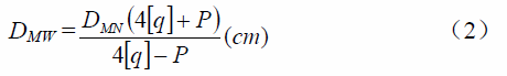
浮动球球阀的结构简单,密封性好,但球体承受工作介质的载荷全部传给了出口密封圈,因此密封圈材料能否经受得住球体介质的工作载荷是关键。一般说来, 密封圈都是用聚四氟乙烯等弹性材料制造,金属与非金属材料组成密封副,也就是通常称为软密封。软密封的密封性容易保证,而且对密封表面的加工精度与表面粗糙度要求也不很高。在介质的压力下,球体向出口端位移并压紧阀座,这时,球体压在阀座上的力QMJ为:

式中:DMW—阀座密封面外径
DMN—阀座密封面内径
P—介质工作压力

阀座与阀体槽之间的间隙δ1,是保证球阀正常工作的基本条件,在选择间隙δ1 时,必须考虑预压缩阀座的均匀伸长应在总的弹性变形范围内,对此采用:

式中:DMP—阀座平均直径;σMJ—弹性变形范围内阀座横截面的许用应力,对聚四氟乙烯制阀座,σMJ=820(N-M);E—阀座材料的弹性模数,对聚四氟乙烯制阀座,E=48000~81600(N-M)。阀座的密封材料一般都是用聚四氟乙烯,在现有塑料中,化学稳定性最强的是聚四氟乙烯,它对化学作用的稳定甚至超过贵重金属金和铂、玻璃、陶瓷、搪瓷、特种钢材和合金。化学腐蚀性较强的物质—浓酸、稀酸、浓碱液、最强的氧化剂也不能对聚四氟乙烯起任何作用,有“塑科王”之称。除某些卤化胺或芳香烃使聚四氟乙烯塑料有轻微的溶胀现象之外,酮类、酸类、酯类等有机溶剂对聚四氟乙烯都无作用,不会发生重量变化及溶胀现象。对它能发生作用的仅为熔融态的碱金属、三氟化氯及元素氟等,但也只是在高温、高压下作用才显著。此外,聚四氟乙烯也不受氧或紫外线的作用,不吸水、具有不燃性。
它具备着很高的耐熱性和耐旱性,实用温差范围之内为-180~250℃,在250℃处里240h,热学效能无大大减少,390℃每个钟头失重0.006%。它的介电效能美好,然后电效能不受到频点和温差的不良影响,可在250℃下长时作业。由上得知,用聚四氟氯丁二烯做蝶阀的封闭隔绝是比较而言期望的。聚四氟氯丁二烯的塑性变位系数值挺大,从而,原原料的效能取决了其塑性扭曲很弱,一但长时便用,原原料的塑性过高以拟补封闭隔绝面的损坏,于是蝶阀的封闭隔绝就得影响,从而,在制作阀门法兰时来考虑怎样从构造上增多它的塑性,公司并选择了塑性构造(见图2)。















分享了温度过高硬良好的填料胶封性蝶阀的良好的填料胶封性特别,分享了各种各样的硬良好的填料胶封性蝶阀的阀块结