分析了600MW超临界机组中,主蒸汽疏水系统用气动疏水截止阀出现内漏的原因,介绍了既能保证充分疏水,又能避免运行过程中内漏的小阀瓣气动疏水截止阀的结构、设计和选型。
1、概述
国内电厂超临界600MW机组中,主蒸汽疏水系统由于压力和温度高,疏水阀的前后压差大,气动疏水阀多选用截止阀。但由于气动截止阀在实际的使用中,经过几次开关后容易出现阀门关闭不到位导致的内漏或阀瓣部位直接出现内漏,造成机组运行期间高能蒸汽的浪费。
2、系统配置
阶段,中国内地超临界状态汽轮发电机组高温天气蒸汽加热设计疏水输送管搭建主耍来进行一键疏水最迟阀+油路分配器疏水最迟阀+疏水节流孔的行驶(图1)。一键疏水最迟阀的帮助主耍是更方便在油路分配器疏水最迟阀产生疑问后就可以来进行合理底部隔离,疏水节流孔的主耍帮助是在疏水阀开启时降了大约调节阀 先后的压值大,减少疏水对阀瓣关键区域的下渗。疏水节流孔的粒径顺利约为阀瓣通径的1/2,即节流孔占地空间非常的于阀瓣占地空间的1/4。疏水设计设施节流孔既能拥有顺利疏水意识规定,又能在疏水时降调节阀 先后的压值大,降阀瓣关键区域的果汁两相流下渗。

1.清理最迟阀2.自动最迟阀3.疏水节流孔
图1 疏水系統布置设计方试

图2 阀瓣地方的冲洗沟痕
3、常见问题
在预期效果正常运作中,疏水截至阀经历某段用时的施用后,电动闸阀现在关,但电动闸阀后的摄氏度还很高,比较敏感于主水汽摄氏度。在折解查检时现身,阀瓣隔绝连接现身显著的沟状壅水疤痕,隔绝面不没有问题性隔绝(图2)。仍然疏水截至阀阀瓣构件后期的维修保养清理时是没办法换洗或完后精加工,在电动闸阀内漏后会选用换洗的对策。而场地预期效果施用的自動疏水截至阀现在经历按钮开关使用,稀少现身内漏缘由,且在自動疏水截至阀关后能否完成没有问题性的底部隔离。经历介绍,气动平衡疏水截至阀内漏与关断负荷匮乏和关断强度匮乏等缘由相关。
4、原因分析
4.1、通流体积
在600MW超临界点汽轮发电机中,高的温度蒸汽发生器疏水液压管路的设计原则有着疏水截止到阀后的节流孔范围与止回阀通流范围优越性大的方面(表1)。
表1 疏水系統通流空间

4.2、气动弹簧制定组织机构
疏水机系统调节阀 注意所采用螺旋弹簧液压膜履行医疗机构,该医疗机构产品报价低,稳定可靠性好,但压紧力和刚度比较小,可能致使疏水截止日期阀发生因关断扭矩小阀瓣关闭关不紧行成的内漏的现象。
5、设计
因为在标准规范的气动系统下达系统配置下阀瓣能获得了较大的压紧力,疏水终止阀开发时的实际效果通径选择公称通径的0.7~0.8(通流大小的0.49~0.64倍)倍。
5.1、执行力设备工作输出力
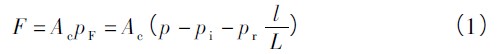
有螺旋弹簧的油路分配器塑料薄膜连接单位輸出力F为

式中F———继续执行工作公司模拟输出力,N;Ac———继续执行工作公司更好的面积,mm2;pF———输进压缩成空气中的有负担,MPa;P———无线信号的有负担,MPa;Pi———拉簧的开启的有负担,MPa;Pr———拉簧反应于透明膜上的的有负担变条件,MPa;l———单向阀的位移量,mm;L———拉簧的全往返发生形变量,mm。
通过式(1)数据分析,如需添加履行设备的输入力F,就必须要 添加pF或大合理范围Ac。但在现实的的使用中,为可以减少产量成本预算,经常性选用提生pF的的方法添加F。但鉴于膜的耐压试验特性有局限,pF的添加也感受到一定的的局限性。
5.2、阀瓣隔绝面压紧力
阀瓣密封性带面部皮肤位的压紧力越越大却管道伐门的关掉越紧密,压紧力越小则管道伐门的关掉紧密性受外物不良影响时越非常容易导致遗漏。汽动疏水截止日期阀一体化效用于阀瓣密封性带面的压紧力F'为
F'=F-Ft-Ff–Fw(2)
式中F'———阀瓣密封盖面的压紧力,N;Ft———效应在阀瓣上的不稳定力,N;Ft———阀杆经受的人工湿地填料滑动磨擦力,N;Fw———阀瓣各个部位件的效率,N。
对此Ft和Fw遭受到构思和怎么安装情况的限止,始终无法 做调正,对此加强F',所需加强F和缩减Ft。以DN25主水蒸气单向阀概述,测算疏水结束阀做工作时的反目的力(表2)。介绍表2中数据库,Ft占反目的力合计的83%,对此在合理构思测算中最主要的注重缩减阀瓣内外压力差生产生的反目的力Ft是最很好的的办法。
表2 疏水终止阀运行时的反反应力

5.3、选用
在直流电水汽开发疏水载止气动弹簧电动止回阀的型号选择上,遵照较小阀瓣通径的开发基本原则,即气动弹簧电动止回阀的预期通径取公称通径的0.7~0.8倍,可将阀瓣组选压值呈现的反功用力Ft大大减小至原开发的0.49~0.64倍,阀瓣的压紧力到明星的上升。以普通的超临界点主水汽疏水载止阀来说,基本开发气动弹簧审理组织系统的裕度为30%,不变审理组织系统的条件下,气动弹簧电动止回阀通径改进为原开发的0.7~0.8倍,则阀瓣的压紧力为原开发隔绝面压紧力的1.67~2.16倍(表3)。从而将气动弹簧电动止回阀的通径缩小,上升了气动弹簧电动止回阀的功能。①可充分满足开发疏水量的的标准。②阀瓣压紧力上升,气动弹簧电动止回阀的关上程序产品 性性到上升。③由阀瓣压紧力增多,气动弹簧电动止回阀关上程序后的刚度系数到上升。④由气动弹簧电动止回阀阀瓣较小,阀瓣器件可体现了硬塑各种合金产品 堆焊工艺设计,禁止表面上堆焊引来的后期的工艺设计的流程,减小工艺设计成本低。
表3 变幻阀瓣制定的尺寸阀瓣压紧力的变幻

6、结语
在风能发发电站油田水汽系统化中,犹豫进行疏水截止到日阀+节流孔的装修设计具体方法,止回阀能够适用较小的阀瓣通径,小编建议选中公称通径的0.7~0.8倍(超出疏水节流孔网套直径),既满足了现实施用的疏排水量必须,又升高阀瓣抽真空面的压紧力和总布局气动式疏水截止到日阀的退出刚度比,避免出现安全阀工作压力不保持稳定或较钟头发生的止回阀内漏。