干船坞大闸阀的选型分析及建议
2013-11-02 刘江歌 中海油能源发展股份有限公司
本文在简要介绍干船坞大闸阀的组成及分类后,首先根据大闸阀的工况,确定了大闸阀的基本选型参数;其次对大闸阀受力情况进行分析,从理论方面对大闸阀电动机构的参数选择提供了计算依据;最后对现场调试过程进行了详细的介绍,并在使用维护方面给出了良好的建议,从而为大闸阀的选型和使用提供了一个简要而切实可行的思路。
一、前言
干船坞为修造船业的水工建筑材料物,普通设置有拦污栅,关上拦污栅后完成灌出水装置化采取港口码头的全面检查、清洗或造建。而干船坞大闸阀为灌出水装置化的关键分为部门,是装置化聚氨酯保温管的“进行操作电源开关”,调节阀安全使用 ,可采取港口码头的浮起和准备就绪进行操作,得以进行港口码头的入进坞安全作业。这样,大闸阀的最佳选择对於干船坞的顺利圆满作业至关必要。本文作者运用新厂的买套干船坞大闸阀的调换步骤,对干船坞大闸阀的选择会给予原理研究,并提供了自个儿的提议,确信对大闸阀的安全终端用户有定的有所帮助。二、干船坞大闸阀的组成及分类
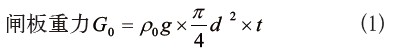
干船坞大闸阀做为线路的保持旋钮,具体以分成两台分:自动传动链平衡系统设计部门和闸阀部门。这之中,自动传动链平衡系统设计部门由交流接触器、传动链传动链平衡系统设计、保持培训部门(行程安排、扭力保持及可控式开启度指示标志器)、手——自动就能培训部门、手轮地方及电气设备部门组合而成了。闸阀部门由阀体、阀体封口圈、闸板、闸板封口圈、阀杆、阀杆螺母、阀盖同时填充料、密封垫组合而成了。不同闸板数目以分成单闸板和双闸板,不同阀杆表现形式可以分成明杆和暗杆。 单闸板,它是总体闸板方法,组成简单的,制作更方便,但封好性较弱;双闸板是由二块闸板组合式而成,制作相对而言繁复,封好性较佳。明杆闸阀,应使用强浸蚀性性媒质、浑浊媒质和高温环境蒸汽加热媒质。不足地方地方是,管螺孔非常容易磨损情况,故尽义务量装置于屋内。暗杆闸阀进入时阀杆不提高,需要备考装置区域较小,常装置在区域受到限制制的在日常生活中。只是暗杆闸阀易受媒质强浸蚀性,阀杆管螺孔等不易光滑。三、干船坞大闸阀的选型
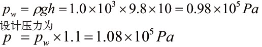
1、闸阀的设计 最先会利用船坞灌出水口设计出水管,肯定选中大闸阀图片尺寸;接下来,会利用大闸阀发生变化地理地点(普通出现海水平线下面的),运算大闸阀任务经济学习压力。比如,本公司灌出水口设计出水管半径为DN1800,大闸阀发生变化地理地点为海水平线下约10m,则任务经济学习压力为













相倾斜角式闸板两隔绝面互不相倾斜角,并有相倾斜角式单闸板和相倾斜角式双闸板之
闸阀又叫闸板阀,主要由阀体、阀盖、闸板、阀杆、阀球和密封圈人工湿地填料