真空开关电弧电子温度诊断原理
真空开关作为电力系统中的控制和保护设备,其主要特点是利用真空作为主触头间的绝缘介质和灭弧介质,真空的优异绝缘强度和灭弧能力给真空开关带来众多优点,真空开关在多种领域得到了广泛的应用,特别是在我国电力系统中压领域占有绝对的统治地位。
为了提高真空开关的电压等级和电流等级,这就需要对其相关特性进行深入的研究,特别是真空开关电弧基础物理理论的研究至关重要。目前在电弧等离子体进行有效诊断的基础上对其进行调控是真空开关领域重要的任务之一,把有效的调控手段应用到真空开关的设计中,就可以大大提高装置的工作性能和指标,完成电力系统短路保护的苛刻任务。国内外目前许多学者对真空开关电弧在不同的电参数下的形态变化规律及电弧模拟仿真作了大量的研究 ,在电弧等离子体参数诊断方面报道不是很多,国内曾有对电子温度和电子密度的变化趋势作了定性的研究 。
本文建立了真空开关电弧实验模型,通过设计的图像采集系统对真空电弧进行了采集,在此基础上结合图像处理和二比色测温原理,绘制了真空开关电弧的温度场,计算了电子温度,旨在为真空开关的心脏———真空灭弧室的设计和制造提供理论依据,促进真空开关在高电压、大电流领域的应用。
诊断原理
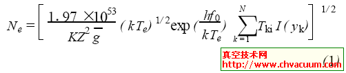
等离子体中存在着大量的带电粒子,它们之有着各种复杂的相互作用,它们所辐射的电磁波具有很广阔的频率范围。如何通过这些辐射得到等离子体的成分(电子密度、电子温度、离子温度、离子密度等) 及其分布是等离子体诊断的一个重要方面。对于黑体来说,不必知道辐射的详细过程,可直接采用普朗克辐射公式来描述各种温度下的辐射谱。但在真空中的等离子体,不是完全吸收体,须考察其具体的辐射过程。辐射过程有轫致辐射和复合辐射两种。轫致辐射就是由作热运动的电子和离子碰撞时电子在库仑场中被加速或减速产生的辐射。复合辐射是通过电子和离子的碰撞使彼此间结合起来而生的辐射。等离子体的连续辐射总强度是由轫致辐射强度和复合辐射强度组成的。在真空开关电弧中,等离子体辐射主要是由轫致辐射决定的,且自由电子的速度远远大于离子速度,韧致辐射主要由电子产生。采用量子力学方法及Abel 变换处理可得到电子密度的表达式 :
式中:
;Lu:镜头光圈系数;La:透光及采集系统转换系数;Ω:被观测点对透镜所张的立体角; S:象元所对应的被观测点的面积;Kf:滤光片光谱特性;Ne:电子密度;g:量子力学效应所引起的修正因子,称为岗特因子;z:原子序数;h:普朗克常数;k:玻尔兹曼常数;Tki:Abel逆变换系数。
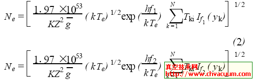
试验过程中利用两个不同中心波长, 相应中心频率为f1,f2分别测得沿y轴电弧辐射强度为I1,2,分别代入式(1) 可得:
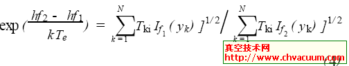
对比式(2),式(3)可得:
由式(4)可看出, 只要求出不同频率(f1,f2)的相对光强值,便可求得其电子温度,这便是利用二比色法即不同频率下光强求得电子温度的方法。
若等离子体是均匀的, 即沿着轴向的电子温度是相等的,则不用Abel变换,可求得:
因此测得连续辐射强度比γ, 由上式就可以求出电子温度kTe,同时可看出,当
时, 强度比γ随kTe 的变化不太灵敏,因此,该方法可测的电子温度范围为
。
其它高清亚洲日韩在线欧美相关的文章:

















不銹钢管墙体保温杯由内外线加厚不銹钢管加工制造而成,合理利用锡焊系统把内胆和外
高压气保溫杯是可以起到了保溫视觉效果的最大要的因素一个就会抽高压气。“无尾
视频教程了蒸空室体场效应管和蒸空室体晶体管的基本的组成部分和的基本原理。同时表示了蒸空室体
真空系统玻璃窗纸和双层玻璃窗纸的辨别
无尾机械泵保温隔热杯是在机械泵钎焊炉中, 确认抽机械泵、机械泵钎焊、第二冷
了解了重力作用隔离开关的开发及开关磁阻电机中介机构型隔离开关的基本格局、能力,着
负压箱管大致相同可构成高压用负压箱管、加热器端差打开用负压箱、使用器用负压箱