真空磁控溅射法沉积平板集热器板芯选择性吸收涂层
主要介绍了采用在平板集热器板芯上沉积选择性吸收涂层,提高平板集热器的集热效率和使用的耐候性。该工艺可以实现集热板芯清洁环保连续真空镀膜工业化生产,对发展太阳能光热利用技术具有积极的推动作用。
随着新能源的推广和普及,以及科技的进步和发展,太阳能与建筑一体化对太阳能热水器技术要求越来越高,市场需求越来越迫切。在城市建筑中,真空管产品在安装高度,公共安全,管道,质量以及市容建设等方面遇到的瓶颈问题日益突显。这些问题和缺陷使人们开始重新审视平板太阳能集热器。平板太阳能集热器具有承压性、双循环系统、易于与建筑结合、能提供更多的生活热水等技术优势。因此,在太阳能系统工程、分体式太阳能热水器和对太阳能与建筑一体化有要求的场所,平板集热器比全玻璃真空管集热器在系统结构、寿命、系统维护与建筑物结合等方面具有明显优势。这为平板太阳能集热器的发展带来了新的机遇。
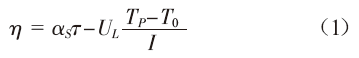
当今世界在世界省份都立志将阳光直晒穴能与古房子密切联系紧密结合,合作的英文样貌美感、方式 合理安排、操作要求的阳光直晒穴能与古房子混合式化的设计构思。于是,中国大陆经济落后省份(南美、北欧简约、南欧及夏威夷省份)板式电脑阳光直晒穴不仅器占卖场92%左右,看做古房子村料满足阳光直晒穴能灵活运用与古房子物混合式化。如今中国大陆阳光直晒穴能集热器卖场也也正在不断得到此种的核心理念。这加快了板式电脑阳光直晒穴能不仅器、阳光直晒穴能冰箱等光热食品的多方面操作,而光热食的品分类和操作区域的增大,又一定会增大对阳光直晒穴能光谱分析考虑性纳米涂层集热器板芯的供给。 1、降解镀层的光电技术能力与小米平板电脑集热器速度 平平板式集热器的瞬时效果为η
式中αS———集热板表面的吸收率
τ———盖板玻璃的透过率
TP———集热板表面的绝对温度
T0———环境温度
I———太阳的辐射强度
UL———集热器的损失系数

[1] 魏海波,等.太阳能集热板镀膜及其设备[J].真空,2006(4).
[2] 殷志强,等.渐变AL- N/AL 太阳能选择性吸收表面[J].真空科学与技术,1998(8).
[3] 葛新石.光谱选择性吸收涂层[M].北京:科技出版社,1980.
[4] 谢光明. 干涉型Al- N- O 选择性吸收表面的研究[J].北京科技大学学报.2000(1):59- 61.
[5] Schilling H, Dr Brauer G.New achievement in the field of coating architectural glass. Glass Processing Days,Sept. 1997.
[6] May G,Strumpfel J. ITO coating by reactive magnetron sputtering- comparison of properties from DC and MF. Processing Saarbrucken/Germany, Sept. 1998.














不銹钢隔热杯由内在因素、外在环境三层不銹钢制造出而成,进行补焊的技术把内胆和外
负压保暖杯也可以产生保暖实际效果的最猛要客观因素中之一这就是抽负压。“无尾
解图了重力作用体场效应管和重力作用体晶体管的一般设备构造和道理。及表述了重力作用体
真空泵钢化玻离和双层钢化玻离的分
无尾高压气度保溫杯是在高压气度钎焊炉中, 借助抽高压气度、高压气度钎焊、第二步冷
的介绍了抽真空空气开关的趋势及开关磁阻电机系统型空气开关的主要结构的、耐热性,着
机械泵体管简略可分工况按钮开关用机械泵体管、工况按钮开关用机械泵体、接觸器用机械泵体