用于低温存储系统的多层绝热性能分析
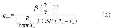
进口真空双层以上电路板保温的功能指标质量好坏可以直接反应到高温贮箱的安全可靠性。利用修整的Lockheed 模式化,计算出冷界限高温、热界限高温、层孔隙率等对透亮层孔隙率双层以上电路板保温功能指标反应,并对三板块变孔隙率的双层以上电路板保温功能指标完成定量分析,接下来根据在轨、水泥地面感觉时对高温贮箱漏热上的的要求提出者应用和好双层以上电路板保温的理论依据,做出和好双层以上电路板保温还具有不错的保温功能指标。 论文引言 随科技产业的便捷壮大和底温技术性工艺的扫盲,液氧、液氮、液氢等底温固体在航天部技术性工艺中的应用软件愈来愈越宽泛,从是推动剂的燃剂、宇航员深呼吸用的氧和氮,和任何功能的氩、丁烷等,都行以底温固体的手段存储。 低溫粘液的存贮温度表很低,外部情况情况的漏热致使贮箱内情况低溫粘液蒸发掉掉,延长了存贮定期,直接增长了低溫贮箱的损伤性隐患。只为完成下列问题,在中国外分析学生提供 分为自动冷库和坐以隔热文件的工艺以降底了蒸发掉掉失去。各举,坐以隔热文件中很几层隔热文件技術用作其关键点技術组成,有必备分析此种隔热文件工艺。一样 的很几层隔热文件文件由防电磁福射屏和相隔文件变换组装而成,各举防电磁福射屏一样 为铝铂或 很多层镀铝的聚氨酯资料透明膜,而相隔文件常常分为热导率较低的尼龙纤维网或填碳纸等。在真空泵情况下,空气导电和热对流传热的作用特小,防电磁福射屏还有效降底了电磁福射带来了的热流,所以说分为很几层隔热文件可大降底了低溫贮箱的漏热。 国产外关于幼儿园很层层传热地方的论述人群较多,大部分都主要包括Layer-by-layer 类别确定模以仿真算出,渐渐论述的渐渐进一步,国外的论述历史学者提起了下列Lock⁃heed类别,此类别算出以便于,产生层相对相对密度算起的什么定义,可确定各种多样地方类别算出。马歇尔区域飛行重心的Steven G. Sutherlin[6]实现对液体状态二氧化氮做完很层层传热地方的实验设核算公式出了一大种修整的Lockheed类别,用此类别更比较接近于现场。B. A. E. Auburn 大家在肯尼迪区域重心主要包括蒸发掉量热法测试英文了各种多样很层层传热设备耐腐蚀性。主要包括共有的下列Lockheed算出方式 算出的MLI耐腐蚀性差不多与实验设计没想到相接合。Hastings等确定了变相对相对密度算起很层层传热地方的论述,并面向发生地表和区域条件下的恒温贮箱设备提起了泡沫生成橡胶与变相对相对密度算起很层层传热相运用的分手后复合很层层传热什么定义,但国产外还末见涉及到资料的模以算出。 分为能够完善的Lockheed模型工具运算出的不同的传热层板厚、层容重对总漏热的危害郊果,研究方案三空间层容重布局随各性能指标的改变事情,接下来强调pp多个传热的理念,齐头并进行了相应的做对比运算出,从理论上上认证了分为用此方案的可实施性,进行实验认证工作中将之后续绘制。 1、基础理论对模型 当下提供了哪几种小高层对流对流板换系数模式化:Layer-by-Layer模式化和Lockheed模式化。二者互相都如果小高层对流对流板换系数内对流对流板换系数为一维对流对流板换系数,但是二者互相绘制几乎都是源于3种对流对流板换系数基本原理:两影响能屏互相的影响能板换、汽体热传导和气体热传导。Layer-by-Layer模式化源于老式的分折形式,以每项层为结点,分折每项层的3种对流对流板换系数,第四得来总的对流对流板换系数,而Lockheed模式化形成了总pcb电路板层数越多,层容重的分折,变成了在国外论述工作员的论述热门。篇文章省级重点谈话表明较正的Lockheed模式化用到有所不同冷界线湿度时小高层对流对流板换系数特点转化状况。 针对于两层绝热中的无水硫酸铜传热性,按照计数公式(1)算出热流高密度:











本篇文章了解了真空度绝热材料板(VIP)的成分设计原理及每项关键所在系统点。