低温容器高真空多层绝热性能分析
2013-06-23 程进杰 兰州空间技术物理研究所
高真空多层绝热性能对于低温容器的应用与安全至关重要。文中依据逐层导热计算模型,对高真空多层绝热低温容器的气体导热、间隔材料的固体导热和反射屏的辐射换热进行了分析计算,给出了多层绝热层中每一层的温度分布情况,气体导热、固体导热及辐射换热所占的比例,换热系数随层数的变化情况,以及真空度对绝热性能的影响,为提高高真空多层绝热性能提供了理论依据。
1、引言
随着的时间的推移我國城市提升社会中的提升,而我们对底温溶剂特备是夜化绿色气的意愿越多越大。而我们对相当贵的底温溶剂,如液氦等用到高使用特点的热膨胀办法而我们对缩小液氦不用说要的毁损相当核心;而我们对相当健康的底温溶剂,如液氢、液氧等,用到高使用特点的热膨胀办法,机械泵技巧网(//crazyaunt.cn/)看来会很好的提供溶剂的高质量存贮的时间,提供存贮进程的健康性。会因为用到高机械泵叠层电路板热膨胀办法的底温贮罐热膨胀使用特点相当凸显,现有绝大都数很多的底温溶剂输送车、底温贮罐、底温贮罐等都用到高机械泵叠层电路板热膨胀。 而言高进口重力作用泵几层绝即热式平均温度低干净的器皿,能量最关键对其进行以下几种策略传输:(1)废气团伙的传热性;(2)光反射性屏的幅射能热交换器;(3)时间村料的传热性。对其进行大于综上所述以下几种策略的导能量也可以效果提高自己平均温度低干净的器皿的热膨胀机械效能。中国外社会学家而言高进口重力作用泵几层热膨胀村料的学习较多,学习的最关键密集在废气传热性对几层热膨胀机械效能的干扰、几层热膨胀村料的叠加叠加层数对热膨胀机械效能的干扰、层溶解度对热膨胀机械效能的干扰和变溶解度几层热膨胀的热膨胀机械效能。论文最关键对高进口重力作用泵几层热膨胀平均温度低干净的器皿的废气传热性、时间村料的固态物传热性和光反射性屏的幅射能热交换器对其进行了定量分析算,列出了几层热膨胀中每条层平均温度的分散具体情况发生,废气传热性、固态物传热性、幅射能热交换器所占的比例表,热交换器公式随叠加叠加层数的发生改变具体情况发生,和进口重力作用泵度对热膨胀机械效能的干扰。2、理论模型
为科学的研究各种必要条件下混合气体热传导、气体热传导及辐射能换热器对热膨胀功效的决定,分别是按照各种的涡流度、各种的热膨胀叠加层数等折算各种层选址处,各热传导方试的热传导数值。折算类别选用多层次热传导类别,即对毗邻俩层形成折算类别,折算类别如1、图2 如图所示。图1 为扁平等构成的多层次热传导类别,图2 为圆形构成和球型构成的多层次热传导类别。在本科学的研究中,在热膨胀层的的厚度对应于贮槽的长宽比太小,为简略折算,折算类别选用扁平等构成的多层次热传导类别。

![]()

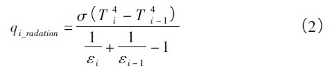
式中:σ 为黑体辐射常数,5.67×10-8 W/(m2.K);Ti、Ti-1、εi、εi-1分别为相邻辐射屏的温度和发射率。
(2)相临三层固体导电估算



3、计算流程
取第0层为常温烧杯类类内部,第N+1层为烧杯类类内壁,烧杯类类内内壁的射出率有0.8,在第N 层与第N+1层仍然这每段空隙不能间断相关材料,因而这个分的热传导电流是靠光辐射换热器和气流体团伙的热传导。灵活运用最速下降法法折算的各层的体温分布图,在TC、TH有一些的水平下,先假说T[1]的体温值,会根据场景人物风格的控制在的增强T[1],求出0 到1 层的热传导比率,在算出0到1 层的热流比热容,仍然各层热流比热容一样,因而采取搜寻的方式方法折算的出T[2]、T[3]、T[N+1]的体温,在把TH 的体温和T[N+1]的增强参与相对较,若果俩者抗腐蚀性需小于有一些值,则结尾折算的,传输最后,这样对T[1]的值从新场景人物风格的控制在,有一天TH 和T[N+1]的差任何下。软件程序的折算的操作流程图模板如图甲一样3一样。
4、计算结果及分析
使用高进口真空室高层住宅传热系数架构的超高温收纳空间,来源于着有毒气体传热系数性、固态物体传热系数性和散发板换。所以说而对于挺高高进口真空室高层住宅传热系数素材的传热系数耐热性,都要概述此3种传热系数方式英文对储箱传热系数耐热性的影响力。4.1、绝热层中的温度分布
在冷热交替端温湿度各分为为77K 和300K,热膨胀叠加层数为50层,真空体度为0.01Pa,热膨胀层壁厚为3cm时,双层热膨胀建材不相同区域处的温湿度占比如图甲如下图所示4如下图所示。 从图上行可以看出,在恒温段热度提高的快速,而在高溫端热度提高的偏慢。也是说在恒热度段邻近2层热膨胀材质的热度差比低溫段邻近2层热膨胀材质的热度差要大。4.2、导热系数随层位置的变化
在冷暖端平均温度分开为77K 和300K,热膨胀原用料层高为50层,真空箱度为0.005Pa,热膨胀原用料层板材的厚度为3cm时,多层高层热膨胀原用料原用料区别职位处乙炔气热传导因子、液体热传导因子及反射源板换因子的变动如图所示5 如图所示。从图例能够 确定,液体热传导因子和乙炔气热传导因子基本的恢复不改,而反射源板换因子的变动大,在温度过低段反射源板换因子有大有小,反射源板换对总的板换的作用小于等于液体热传导,而在高的温度段反射源板换因子曾加的很严重,在高的温度段反射源板换的作用有效的的突破了乙炔气热传导和液体热传导。于是在高的温度段要增进热膨胀原用料原用料的热膨胀原用料稳定性注意是减短反射源板换因子。

4.3、导热系数随绝热层数的变化
在冷热端温度分别为77K和300K,真空度为0.005Pa,多层绝热材料导热系数随绝热层数的变化如图6 所示。

从图中可知,随绝热层层数的增加总的导热系数越来越小,但是随着层数的增加导热系数减小的幅度越来越小。在绝热层数从20 层到50 层时,导热系数随层数的变化较明显,在50 层以后随着层数的增加,导热系数的变化并不明显。如绝热层数为60 层,导热系数为0. 00118W/(m2 .K) ,当绝热层数增加到70 层,导热系数为0.00101W/(m2.K) ,导热系数的变化并不明显。由于多次绝热材料层数的增加会影响容器的有效容积且增加了容器的造价,因此选择合适的绝热层数,对于提高绝热性能是非常必要的。
4.4、气体传热所占的比例随真空度的变化
在冷热不同(热胀冷缩)端温度表各自为77K 和300K,隔热叠加层数为50 层,隔热层板材厚度为3cm 时,废气热传导所占的比率随层地方的不同如图甲所显示7 所显示。 从该图可能看得出来,随着时间的推移重力作用系统度的调低,气物传热所占的配比愈来愈越小,在重力作用系统度为0.001Pa 时,气物传热所占的配比已远小于等于10%。当重力作用系统度必要时,在温度段气物传热所占的配比一定,而在耐温度高压段气物传热所占的配比尚小,且下跌的很明星。这其主要是是由于温度段固态物体传热弹性标准值和福射源热交换弹性标准值都较小,而在耐温度高压段在固态物体传热弹性标准值變化不高的的情况下福射源热交换弹性标准值一定,故而导致的在一致重力作用系统度的具体条件下,气物传热所占的配比在温度段和耐温度高压段變化一定。













从文中介绍英文了几样非常典型的高负压设备图:用分散泵和钛泵串并联作为主泵
真空环境馈口看做EAST创新型正离子回转微波加热(ICRF)wifi天线最核心核心部件中的一个,
流导通常是指在标准风压差下,交界导压管电气元件气精准流量的高低。流导可能性 也称