这篇文章用于rf射频不起功能磁控溅射法溅射ZnO靶,直流电磁控溅射法溅射Cu靶,在窗户玻璃衬底上提纯了各不相当结合架构的Cu、ZnO公开导电塑料膜,探索了Cu层溅射时刻对塑料膜架构形貌和光电科技能力的应响。然而算出结论Cu半层对膜系的导电性起首要功能,内阻值奋力随基性岩Cu层溅射时刻的增多而不错调低,后变化无常日趋平缓。检样可以说光事件范围内散发出率随Cu层溅射时刻增多而调低。有时候非常相当状态下提纯的有两种塑料膜后算出,ZnO/Cu塑料膜内阻值率相对来说来说较低,ZnO/Cu/ZnO塑料膜散发出率相对来说来说略高。
透明色色的导电胶片而致较高的光电公司科技科技能而被阳光能蓄电池、板材展现器、滤波器等几个方面丰富的APP,因文化全产业链出产的详细要,高光电公司科技科技能、低的成本投入的胶片资料变成分析的关键文章。相信较如今关键食用的透明色色的导电胶片资料ITO、ZAO胶片资料某种程度,很多废废金属件资料的内层机构的APP不仅为加快光电公司科技科技能的好的办法,其中的废废金属件铜体现了电阻功率率低、热平衡高、价位用低廉等缺点,故而关键在于换取很好的导电能并大大减少的成本投入,可选用废废金属件Cu与ZnO黏结胶片的机构来准备透明色色的导电胶片。
Cu、ZnO黏结贴膜的设备构造类型有三种组和,伴随Cu/ZnO设备构造类型黏结贴膜中金属制铜裸漏在表皮层,简易被阳极氧化而减低电学功效,故而选文分为磁控溅射法在波璃衬底上形成分离纯化ZnO/Cu/ZnO、ZnO/Cu黏结设备构造类型半透导电贴膜,通常科学研究贴膜Cu层溅射时、层黏结设备构造类型对贴膜光电科技功效的导致。
1、实验
本实验报告应用的镀一层薄薄的膜机器设备为广州天成涡流度技術比较股份有限事故我司生产销售的多靶磁控溅射仪,一并配带微波射频靶位和交流电靶位,需要不出现涡流度室一回性
达成三层黏结膜的制法,化学反响微波频射磁控溅射积聚ZnO层,直流电电压磁控溅射积聚Cu层。靶材为饱和度99.99%铝合金锌(Zn)及饱和度99.99%铝合金铜(Cu),靶材直劲为58mm,尺寸为5mm,靶材与基片相应为40mm,基片为高级载玻片,制法前基片用无水乙酸乙酯超声心动图波洁净,然后用高纯氩气擦干;背底真空体压强为5.5×10-4Pa,溅射的作业气休为饱和度为99.999%的氩气和氧,制法前先预溅射10min以洁净靶材;溅射时作业压强为1Pa,化学反响溅射时氩氧比值3:1,微波频射溅射最大输出功率为80W,直流电电压溅射最大输出功率60W为,在制法操作过程中基片台均速旋转视频以保持着膜的积聚不规则。打样定制中的ZnO层的积聚事件为ZnO(15min)/Cu/ZnO(15min)、ZnO(30min)/Cu,使哪几种膜中ZnO层尺寸雷同。
仿品的空间结构形貌用于D/Max-2200型X电子束衍射仪和S-4800型扫描仪扫描电字体视显微镜来定性分析,仿品的透光率U-3010红外光谱分光光度计测评,用于HL5550霍尔测评整体测评仿品的功率电阻率等电学性能指标。
2、结果与讨论
2.1、机构形貌
图1为各种Cu层机的薄厚ZnO/Cu/ZnO塑料膜XRD图谱,是可以知道备样在2θ=34.3°符近都产生出偏态的ZnO(002)衍射峰,同一时间还伴随有Cu(111)峰的显示。备样都具备有重复的ZnO中选优发育基本特征,产生出积极的c轴中选优倾向,然而 Cu层机的薄厚对ZnO衍射峰的影响力较多,ZnO衍射峰效果随Cu层机的薄厚的延长而先增加后降低、半峰宽加大,同一时间Cu(111)衍射峰正在逐步增加。

图1 不一样Cu层形成时间间隔ZnO/Cu/ZnO薄膜和珍珠棉XRD图谱
由谢乐表格函数而定,ZnO衍射峰的半高宽减短即具体表现为保护膜和珍珠棉的金属材质晶体度图片尺寸变大,保护膜和珍珠棉的析出性提生。Cu(111)峰的渐渐的突显阐明Cu的析出性渐好然后不被阳极氧化,但Cu衍射峰都很特别,讲解Cu薄层的析出性取决于不高。在Cu层磨合时间段间隔较短期,溅射很多于对ZnO保护膜和珍珠棉完成了轻微的添加,然后Cu水水粒子比例较少仅才可以团簇造成岛状,不造成维持膜,故而展现为近似于单面ZnO保护膜和珍珠棉的析出作用。随之磨合时间段间隔的不断增强表面层磨合的水水粒子变多,渐渐的由岛状转化而维持成胶,使Cu膜金属材质晶体度变大的析出线安全性能到提生。底层ZnO的析出线安全性能与Cu膜有直接的原因,随之Cu层宽度的不断增强,Cu(111)晶面认知变多,使其析出性不断增强,此外不断增强了Cu层的里面的疵点,的影响了与ZnO间晶格相匹配,使ZnO的析出性降底。ZnO/Cu挽回设备构造保护膜和珍珠棉也反映这个的规律,知识ZnO衍射峰更强,Cu衍射峰取决于最弱,彰显为保护膜和珍珠棉的金属材质晶体度取决于很高,析出线安全性能较高。
图2为两种类型胶片在有所差异溅射时刻的SEM图,从图例能考察到60s溅射的胶片金属材质晶粒大小度度大小较为略大,但有构造较为涣散,饱满性欠佳,真是仍然Cu的析出性随溅射时刻的上升而渐好,Cu的金属材质晶粒大小度度大小加大上升了Cu层边部的越来越粗糙度,这让其上ZnO层的析出产品的降低,引发塑料胶片构造较为涣散,边部金属材质晶粒大小度度大小较为不饱满。非常ZnO/Cu/ZnO和ZnO/Cu的差不多溅射时刻SEM图能察觉ZnO/Cu塑料构造的胶片金属材质晶粒大小度度大小大,边部较为饱满,这与那样胶片的边部ZnO形成沉积时刻较长相关联,有益于ZnO金属材质晶粒大小度度大小的成材及胶片析出性的从而提高。

图2 两类符合pe膜不一样溅射时的SEM图
2.2、电学性能
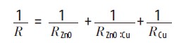
黑色铝合金质的好的导电性对软型pe膜的功率热敏内阻器率关系力相当大,Cu的功率热敏内阻器率很低,载流子氨水浓度高,如霍尔测试测试报告单提示 ,岩浆岩的时间间隔越长,Cu层的岩浆岩的链接性越贵,膜层晶体性越贵,光催化原理的Cu隔热层软型pe膜的功率热敏内阻器率会跟着Cu层板厚的加大而强势扩大。如下图所示3功率热敏内阻器率随岩浆岩的时间间隔的社会关系求得,黑色铝合金质的放入对双层以上软型pe膜的导电性会形成强势的关系力。在Cu层的岩浆岩步骤中先进行的是Cu对第二层导电介质的夹杂着粘附步骤,而能在双层以上pe膜的光催化原理中会形成Cu的夹杂着粘附层,ZnO双层以上软型pe膜结构类型的功率热敏内阻器也可近细细的看作由ZnO层、Cu夹杂着层、黑色铝合金质Cu层的功率热敏内阻器相串联具有。用函数说明为

进来RZnO、RZnO:Cu分离为ZnO层总电容及ZnO与Cu接口的掺入扩散作用层的总电容,RCu为Cu层的电容。鉴于ZnO的电容率高远于Cu的电容率,因此 复合材料溥膜的电容包括考量于Cu层。如同3表达,在Cu层建立堆积时候较短暂,包括运用为Cu对ZnO的流入进样器掺入,从而还未有建立不断的废金属质膜,对溥膜的电容率应响不太大,电容率对应较高。伴随着Cu建立堆积时候的加入,诞生的不断Cu膜,其晶粒大小的增洽谈会曾加晶界处电子技术的散射,形成溥膜的导电性可观升高,在Cu层板材的厚度继读加入后,溥膜的导电性包括由废金属质层关键,因此 电容率的随建立堆积时候的变化无常缓和。

图3 试样电阻功率率与Cu溅射時间的关联图线
评测两种类型溥膜的内阻器器值率图线发现了ZnO/Cu/ZnO的内阻器器值率略大。基于ZnO/Cu/ZnO挽回构成比ZnO/Cu构成具备多一次的Cu夹杂着层,这相于减变小了ZnO/Cu/ZnO溥膜中Cu层的可以有效料厚,让 溥膜的内阻器器值率相很大的。夹杂着层的内阻器器值率则由溥膜的制法能力关键,在夹杂着层引起的期间中,Cu的夹杂着量及夹杂着层的心得質量与溥膜的制法能力想关,会对导电性能指标引起会影响。
2.3、透光率
图4为ZnO/Cu透明膜原材料匹配的不同Cu层火成岩准确时光的散射谱,经过透明膜原材料的散射谱推测,在探及光范围内内的散射率都少于80%,体现了较高的探及光散射能。如今Cu火成岩准确时光的加剧,透明膜的散射率不断减低,核心可能Cu层层厚的加剧,随着Cu膜的晶体性挺高,金属材质晶粒宽度增强,使晶界偏少晶界散射加剧,减低了散射率。
较好五种聚酯复合膜的散发出谱发展ZnO/Cu/ZnO散发出率较低,尽量二层Cu的参杂层对聚酯复合膜多晶体的均匀的性非均质性引起影晌,增添了网络的散射亏损资金,会行之有效降低散发出率,然而 至少上下左右二层的ZnO对聚酯复合膜兼有增添散发出的工作,并受二层参杂层的影晌,ZnO/Cu/ZnO构成特征的聚酯复合膜行之有效料厚也相应比较较薄,整合很多种的因素令ZnO/Cu/ZnO聚酯复合膜的散发出率相应比较于ZnO/Cu构成特征略高,内见光区散发出率完成83%。

图4 试品的电子散射率随Cu层沉积物用时的转化图线
3、结论
适用频射反应迟钝磁控溅射法溅射ZnO靶,整流磁控溅射法溅射Cu靶,在钢化玻璃衬底上光催化原理了各种包覆机构的Cu、ZnO公开导电胶片,研究探讨了Cu层溅射的事件对胶片机构形貌和光电材料特点的直接影响。报告发现黑色金属层对膜系的导电性的开展起主要角色,热敏内阻率随Cu层溅射的事件的不断增强而有效影响,又被称为随Cu层壁厚的不断增强转化趋于稳定平缓,热敏内阻率提升10-4Ω·cm数率;胶片不难发现光区电子散射率提升83%,胶片不难发现光范围内电子散射率随Cu层壁厚的不断增强而影响;有点一模一样状况下光催化原理的各种不同各种机构胶片后得来,ZnO/Cu胶片热敏内阻率对比性较低,ZnO/Cu/ZnO胶片电子散射率对比性略高。