真空拾取器拾取动作响应时间与影响因素的研究
小型真空拾取器被广泛应用于轻质小型元器件的搬运机构之中。通常要求真空吸取器在执行搬运作业时其拾取动作尽可能迅速,其总响应时间为阀门动作、抽气降压和工件运动三部分响应时间之和。本文通过理论推导得到了工件运动响应时间的计算公式。借助fluent 软件,模拟计算了抽气管道内的气体扩散降压流动过程,并讨论了真空管道长度与直径、储气罐容积等因素对抽气响应时间的影响。计算结论指出了提高真空拾取器响应速度的有效途径。
小型真空拾取器在IT 行业中被广泛应用于轻质小型元器件(如石英晶片、片式电阻电容元件、小型集成块等) 的搬运机构之中。生产过程通常要求真空拾取器在执行搬运作业时其拾取动作尽可能迅速,以提高生产效率。已有学者研究了采用真空发生器的拾取器系统的吸附响应时间,本文将以采用真空泵的真空拾取器系统为对象,针对拾取动作响应时间及其影响因素,开展理论分析和计算研究。
1、真空拾取器结构与工作原理
真空拾取器系统由吸盘、抽气管道、换向阀门、储气罐、主真空管路等部分组成,如图1 所示。

1 —工件样品;2 —真空吸盘;3 —抽气管道;4 —三通电磁阀;5 —储气罐;6 —主管路
从设定软件发布的捕捉行为ftp指令展开,到蒸空吸盘将部件图纸全吸牢到止,整块捕捉方式的软件反映时光t 分为3部分:蒸空调节阀 受到ftp指令至全导通的行为反映时光t1 、蒸空管材展开抽气稳压至部件图纸展开中国电信的抽气反映时光t2 和部件图纸体育运作至蒸空吸盘并吸牢的图纸体育运作时光t3 。即 t = t1 + t2 + t3 (s) (1) 这里面球阀运作回复耗时t1 是由选中择开关元件的企业优点所取决于的,能由制造服务商作为其动态数据,通畅在二十多毫秒里面。而抽气回复耗时t2 和备样活动耗时t3 ,则基本是由真空体捕捉器软件的框架和方法参数设置所取决于的,下边分别是设施统计。2、工件样品运动时间的计算
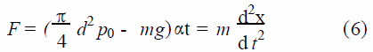
在无视产品工件土样的不十分整平度等预期客观因素的相近下,土样在吸盘左上角的支撑力为
式中d —吸盘口的有效内径(m) ; P0 —环境大气压力(105 Pa) ; P —吸盘入口区域的气体平均压力(Pa) ; m —工件样品的质量(kg) ; g —重力加速度(9.8 m·s - 2 ) 。样品发生运动的初始条件(以下标s 为标记)为


其中ρ—大气的密度(~1.20kg·m- 3) ;δ—样品到吸盘的初始距离(m) ;
论文接下来的统计得出结论,在原辅料刚开始体育运动此后(取F=0 时为期限端点t = 0) ,吸盘内的混合气体月均负担随期限矩阵合同成波形缩减的趋势,就有:![]()


分析式(7)可知,样品运动时间主要受样品质量、吸盘内径、样品与吸盘间距离、以及抽气管道的压力递减系数的影响。举例计算,当m = 2 g , d = 3mm ,δ= 2 mm ,α= 346 s - 1 ,则样品启动压力ps = 97.2kPa ,启动流量qs = 1.28 L ·s - 1 , 运动时间t3 =4.66ms。
















介紹了横截面型机械泵体吸盘的运转原则、技艺产品参数等,并观点横截面型机械泵体
高压气吸盘的设备构造和高压气吸盘的建材还有吸盘与被吸收类件外面的符合
传统型的涡流吸盘需用于气体吸附表层光面的部件,来说表层的品质偏弱的,
真空度吸盘的动态的开发使吸盘的事业更安全防护可靠的。在对吸盘的两个经典工
重力作用高压线路公路运输高压线路由彼此向的四根高压线路结构,还可以走地表或低下, 也