长管路抽真空的理论分析与实验研究
分析讨论了长管路抽真空的特点及影响管路真空度的主要因素。根据相关真空理论,推导得出了长管路极限真空计算公式。结合一真空工程,对该理论公式进行了实验验证。结果表明,理论计算值和实验测量值比较接近。该公式对长管路的真空设计具有较强的参考价值。
真空技术在容器检漏、焊接加工、冶炼、干燥和其他工业领域和科学研究中应用非常广泛。我国真空工程技术发展很快,虽然只有几十年的时间,但在很多领域都达到了世界先进水平[1]。尽管现在真空理论和真空技术的发展比较成熟,但在某些特殊真空工程中,当前理论不能很好地解决实际问题。在一真空中,对长度超过1000 m、内径仅为42 mm 的管路,如何正确、快速地计算该长管路的真空度成为设计者遇到的关键难题。查阅现有文献资料表明,没有直接用于计算长管路真空度的公式。本文通过对相关真空理论公式的分析讨论,推导得出了实用可行的长管路真空度计算公式,并得到了实验验证。
1、长导压管抽真空室的优缺点 在一般来说的高压气工程项目运算中,基本上将L≥20D(L为管长,D 为管子尺寸)的压缩空气管道叫作长管,如同1右图。

在真空管路内,气流有三种基本流动状态,即湍流、粘滞流和分子流。因湍流仅仅发生在系统刚刚工作时,且持续时间短,故不予考虑。而分子流一般出现在高真空(0.13~1.3×10- 6 Pa)和极高真空(1.3×10-6~1.3×10-11 Pa)系统中,可忽略[2]。因此,本文对长管路真空状态分析时都视气体流动状态为粘滞流。
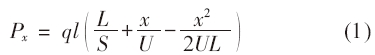
由真空设计手册[3]可知,对于长管,其内部各处压力不等,呈抛物线形分布。其中,管路泵口端压力最小,另一端压力最大。对气体流速,当其状态为粘滞流时, 对同一截面, 速度分布符合抛物线规律,即管中心流速最快,而管壁最小。在距离抽气口x 处的压力[1]计算公式为:

式中Px———管路某处的压力,Pa
q———真空室材料出气率,Pa·L(/ s·m2)
l———真空室截面周长,m
L———真空室长度,m
S———x=0 处的有效抽速,L/s
U———长度为L 的管路流导,L/s

由上式(3)可知,管路两端的最大压差与真空泵的抽速无关。因此,为减小长管路内的压力差,应减小长度L,但本工程中L 为定值,不能变。在本工程中,要求长管路内的真空度为100 Pa,视为低真空常速抽气。因此,其抽气时间按下式估算[3],流导为U 时1/S= 1/Sf+1/U则

式中t———抽气时间,s
V———真空设备容积,L/s
Sl———泵的名义抽速,L/s
U———抽气管路的流导,L/s
pi———经过t 时间抽气后的压力,Pa
p———真空室开始抽气时的压力,Pa
影响管路真空度的因素比较多,如材料出气率、焊缝或法兰部位的泄漏、材料表面清洁度、蒸汽、温湿度等。资料表明[3],不同的工程材料,放气率不尽相同,如1Cr18Ni9Ti 不锈钢的放气率为3.74×10-4Pa·L/(s·m2)(原材料,动态测试,抽气时间1 h),而聚氨酯2# (即PU 材料) 放气率约为0.14 Pa·L/(s·m2)(动态测试,抽气时间1 h)。即使对同种材料,抽气时间不同,放气率也不同。如果焊缝有贯穿性裂纹和气孔,真空度也难以降到较低水平。如果法兰密封结构设计不合理,密封槽或密封圈在安装时没有擦洗干净,都可能造成气体泄漏,导致真空抽不下去。要想获得较高真空,必须设法减少真空系统中的大量可凝性蒸汽[4]。此外,管内的灰尘、沙石、焊渣等也对真空度有影响。因此,在设计和安装真空管路时,必须对上述问题引起足够重视。
4、完毕语 只能根据估算得来的长滤油器抽进口进口重力作用系统度表达式, 估算一堆长短不超1000 m 的细长管抽进口进口重力作用系统度,解決了滤油器抽进口进口重力作用系统设定的的理论关键问题。研究英文測量导致是因为,该表达式对安全可靠,学科课合理化,可指导意见体现了一样供需的长抽进口进口重力作用系统滤油器的设定办公。最后,如对还简化表达式(10)进步估算,可获到面积大小不一样的的、直劲不一样的的、文件放气率不一样的的的两滤油器抽抽进口进口重力作用系统的差不多性表达式,这对抽进口进口重力作用系统工程建设设定与学科课研究英文体现了重要性的线上推广和汲取实际价值。 参考资料医学文献
[1] 巴德纯,达道安,张世伟.真空工程技术[M],北京:化学工业出版社,2006.
[2] 郭鸿震.真空系统设计与计算[M], 北京:冶金工业出版社,1986:3.
[3] 达道安. 真空设计手册[M]. 北京: 国防工业出版社,2004:779- 780.
[4] 王晓东,巴德纯,张世伟,等.真空技术[M],北京:冶金工业出版社,2006.












此文详细说明了CF卡箍、KF卡箍、ISO卡箍(ISO-K和ISO-F)互相的不同之处和