常用的两种正压漏孔校准方法结果的不确定度分析
2009-07-08 张涤新 兰州物理研究所
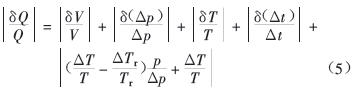
定容法测量不确定度的分析 在量测整个过程中,可能工作温度改变而诱发了压差改变,是漏率量测不断定度的核心渠道。在系统理论算和进行分析,定容法标定+压漏孔的不断定度为:

在实际测量中,总有温度波动存在,式(5)中的最后一项对不确定度的贡献最大。若要减小这一项不确定度,应尽量增大△p,减小△t 和△Tr。表2中列出了定容法校准正压漏孔漏率的各项不确定度。
表2 定容法较准正压力漏孔漏率的相关不来确定度
定量气体动态比较法不确定度的分析与计算
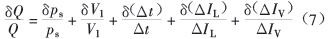
采用定量气体动态比较法校准正压漏孔时,四极质谱计测量的是示漏气体分压力所对应的离子流,用式(4)计算,可改写为:


表3 定量气体动态比较法的测量不确定度

(1)用定容法和定量气体动态比较法对正压漏孔进行校准,校准范围为1×102~5×10-5 PaL/s。定容法的校准范围为1×102~5×10-3 PaL/s,/,测量不确定度为2.6%~9.1%;定量气体动态比较法的校准范围为2×10-2~5×10-5 PaL/s,测量不确定度小于14.2%。
(2)定容法中主要包括了绝压法和差压法自动侧量定容室的负压,不禁寻址了定容法的自动侧量次数,有时有郊地交叉了定容法的自动侧量低限。 (3)在降钙素原检测空气动图相比法中,主要包括了降钙素原检测空气法,彻底应对了积攒空气中不明示漏空气的定标话题,并延展标定最高值5个數量级,彻底应对了较小漏率的正压力漏孔的标定话题。(4)采用了较小容积( <1×10 -2L)累积室累积示漏气体,有效地增加了示漏气体的浓度,减少了累积时间,提高了正压漏孔的校准效率。
(5)采取负担衰除法在定容室中配好的凉茶比调气味和参考值气味的样品英文,充分利用氧分子流进样工艺,能够 的小圆孔把气味对接质谱室中,用4个等级质谱计自动精确测量,确认了示漏气味分负担自动精确测量的重新性。 (6)定容法与一定量有毒气体动态的是比较法在相同检测区间车,检测+压漏孔的漏率,拥有最号的共同性。 现如今,全班同学准平衡装置已适用于压缩空气漏孔的效准,更紧入的论述还要进行中去。高清亚洲日韩在线欧美相关的文章阅读:











氦质谱检漏工艺是真空箱检漏范畴里必不可没有的本身工艺,用各种工艺
只能根据被检件的估测目标需要将氦质谱检漏方式方法主要包括两个类别,属于是
大收纳空间检漏的技术,在国内链和外的的方式有冰泡法、火烛法、生物工程法、洗衣皂法
前提条件毛细血管管端利用强力气泡养成的大体按理来说, 研究方案利用强力气泡检漏法的的基本原理、信息泄露率
用富含卤化物(氟、氯、溴、碘)的乙炔气为示漏乙炔气的检漏医疗仪器被称为卤化物