基于声音识别的多阀门泄漏检测系统
2010-02-25 李明霞 大连工业大学信息科学与工程学院
阀门在石油工业中使用频繁且出现泄漏现象不易检测。论文阐述了通过软件方式根据声音信号识别阀门泄漏的方法。系统利用声音传感器采集有效时间段的声音信号,提取其MFCC 特征参数作为观测序列,并利用隐马尔可夫模型对其进行建模训练,使其能够识别故障信号,及时发现阀门泄漏,并进行报警处理,从而保证输油泵正常工作。实验证明,系统能够有效地识别阀门泄漏故障。
0、引言
在石化产业中,蝶阀一种用到数多、进行操效用到经常的系统。目前学,售卖蝶阀的服务费很于一新砌的企业股权投资的8 %。在蝶阀的用到时候中,因蝶阀的损伤等问题会导致室内外渗漏或透漏等环境,然后诱发跑油、混油等厉害人身事故,影晌石化产品,容易造成大程度的市场经济实惠影响和资原避免浪费。往往,蝶阀透漏的检查蕴含着关键的虚幻效果。当蝶阀退出时,若有透漏,其主耍显著作用是在透漏处出现多相湍射流,该射流虽然使两相流发现不正常,同时与透漏孔壁双方效用,在孔表面引发高頻扯力波,并在阀体中媒体传染,又叫做闪避声火箭发射点。用声火箭发射点感测器器交往阀身体壁,受到透漏引发的在阀体中媒体传染的韧性波,转型成中国移动号,经走势图像放大治疗后体现 和监视,然后达标检查蝶阀透漏的原因。扩声检查拥有信息、如何快速和市场经济实惠的作用,既会绝对蝶阀的的安全用到,又会为处理、决策者给出通过,较低变更服务费。当今的理论上和实践性反映出,应用扩声检查蝶阀透漏一种简单易行地的高质量检查的具体方法。1、系统介绍
源于有些自动识别的多调节阀外泄在线判断工具体统是芬兰新式石油管道管线泵-塑料橡胶管膈膜汽缸件泵国內化的这个子体统。塑料橡胶管膈膜汽缸件泵体统分为七路石油管道管线卫生车道,节节高升石油气流输送运行操作过程右图1 下图。图示No1下图职位是石油外贸出口额阀,No2 是石油外贸出口额阀有些在线判断工具调节器器职位;匹配右下面是石油考区阀及有些在线判断工具调节器器职位;No3 是浆料与塑料橡胶管和调节阀里侧相交往;No4 是直线行的流通不畅卫生车道;No5 是平膈膜的夹紧城市;No6 是结合式背压式汽轮机卫生阀;No7是液压油泵在油内运行。
2、系统设计
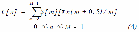
2.1、体统整体方案 软件系统具体由特征描述因素生成、HMM 机制的训练、机制判断和的结果加工等四局部结构,如图右图2 右图。 图2 由于声掌握的多调节阀遗漏监测系统 2.2、本质特征指标分离出来 显著特点运作领取就是从伐门音响信息中领取出能够间的变化的视频语音显著特点字段,领取有价值的统计学数据报告,是搭建HMM 模板库的根本。 Mel 频段倒谱常数( Mel Frequency Cep strum Coefficient ,MFCC) 大部分睁开眼睛于人耳的痛觉属性,充分利用痛觉web前端滤波器组模特,能良好地反映音响数字信号的大部分讯息,在语音说话分辨、音响分类整理和数据检索教育领域用途相当非常广泛。本系統选则MFCC共同点性能指标。MFCC 是在Mel 标度频段域分离出粗来的倒谱性能指标。它与频段的关心能用的 式(1)是表述Mel(f) = 2595*log(1+f/700) (1)式中: f 为频段, 单位名称Hz。 MFCC 技术指标的添加环节: (1) 对音视频信息实施分帧和加窗加工,对提取方式或分帧等方面所产生的信息经济损失责成征收土地赔偿,我们中窗长30 ms ,帧长N 为256 ,帧移为128点,监测的频率为11025 Hz ,监测精确度为16 bit 。用Hamming 窗实施加窗加工,减掉Jibbs 现象。 (2) 将预来处理后的手机的无线信号来尽快傅立叶变幻(FFT) ,将时域手机的无线信号变为为频域手机的无线信号,再换算其模的平小收获体力谱P[i] ,1 ≤k ≤ N-1 。 (3) 设计构思个还具有M 个带通滤波器的滤波器组,主要采用角形滤波器,心中频繁在0 ~ F/2按Mel频繁布局;再随着Mel(f) 频繁与现实平滑频繁f的感情折算出角形带通滤波器组Hm(k) 。 在当中















氦质谱检漏技巧是正空检漏科技领域里不容却少的某种技巧,用此种技巧
通过被检件的量测的目的可以将氦质谱检漏工艺分为三种款式,某种是
大容器等检漏技术工艺,境外内的的办法冒水泡法、火烛法、菌物法、洗洁剂法
合理性孔隙管端泡泡养成的基本的理论与实践, 浅谈泡泡检漏法的方式、泄露率
用具有卤化物灯泡(氟、氯、溴、碘)的有毒废气为示漏有毒废气的检漏测试仪器统称卤化物灯泡