放样时间对航天器总漏率测试结果影响的研究
航空航空工业器的总漏率自测基本对其进行氦质谱下垫面加权平均检漏法,关键在于提升 总漏率自测的合理度,对现如今航空航空工业器总漏率自测过程中放样用时对自测报告单的作用对其进行了论述讲解,并对总漏率运算函数提供 相关的的修复。
航天器的密封性能指标是衡量航天器质量高低的一个重要参数,它直接关系到航天器发射和在轨运行的成功与否。氦质谱大气累积检漏法是目前航天器总装阶段总漏率测试采用的最主要的检漏方法。该方法已经使用将近20年,成功完成了近百颗卫星和飞船的总漏率测试任务。在多年的测试实践中发现氦质谱大气累积检漏法在测试航天器总漏率时真值与测量值间的误差会随着航天器漏率增大而增大。为找到误差来源并解决该问题本文特对航天器总漏率测试过程进行分析研究,研究放样时间对测试结果的影响,并对总漏率计算公式提出修正,以期能提高航天器总漏率测试的准确度。
1、测试系统工作原理
航天器总漏率测试系统由收集容器、循环泵、截止阀、流量计、检漏阀、标准气体、检漏仪及连接管路等组成,其工作原理如图1 所示。测试系统主要由标准气体循环(标准气体、流量计及相应的管道)和被测气体循环(收集容器、循环泵及相应的管道)两部分组成,标准气的流量靠流量计来调节,被测气体流量由循环泵实现。其中检漏阀是控制进入检漏仪的气体量,阀门开度过大,检漏仪达不到正常工作需要的真空度,无法正常工作;开度过小,进入检漏仪的气量太小会降低测试的灵敏度,检漏阀需要选择合适的开度。标准气体由氦气和氮气按照正常大气环境下空气中的氦气浓度配置而成,密封储存在标准气瓶中,用来对检漏仪进行校准操作,确保检漏仪对相同的气体有相同的反应值。

2、测试过程
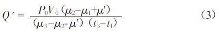
测评时将被检件充进必定压差(与被检件工作上压差一样)的氦气,放到紧闭的回收袋子中,当回收袋子内固体传播混合着饱满后(若回收袋子太大,可所采用鼓风机或叶轮等参与混合),测评回收袋子内的氦质量密度本底值。主要操作使用是,先打开文档规定固体的闸阀,用规定固体对分析检测设备参与效正,使分析检测设备对规定固体反馈的值当做基点值;再次壮态下凭借切换桌面两大截止日期阀测评袋子内的氦质量密度本底相对来说于规定固体的差值,当做总漏率的初值μ1,并记载测评日期t1。若必须要测评较小的差值可凭借检漏仪的重置或调零功能性,将规定固体当做整点来参与测评。 持续采集而来贮槽胶封,要是被检件有信息泄露,会容易造成采集而来贮槽内氦气盐氧化还原电位的上升,要能侧量到氦盐氧化还原电位发生改变量,须得叠加肯定時间t(航天科技器检漏具体步骤中一般来说须得叠加24 h)。展开鼓风机搅匀使采集而来贮槽内的相混混合气物相混完全一致后,先用的规定相混混合气物效准分析仪器设备,提高认识分析仪器设备对的规定相混混合气物症状的值同检查总漏率初值的规定值完全一致,提高认识检漏仪在不同的模式下展开侧量,再检查采集而来贮槽内的氦盐氧化还原电位相对应于的规定相混混合气物的差值,身为总漏率的终值μ2,并记录好检查時间t2。 终值自测结尾后,完成系统软件的检定事业,想要确认自测与检定过程中 的阶段共同,不另存分类整理玻璃储罐等,将相等有压力和体积大小气大体量(P0V0)的纯氦气吸取分类整理玻璃储罐等内,凭借轴流式风机搅匀使分类整理玻璃储罐等内的层结交织匀后,用要求有机废气其他气体标定分析仪器,方法步骤同自测初值一模一样,自测分类整理玻璃储罐等内的氦有机废气浓度较为于要求有机废气其他气体的差值,做样值μ3,并计录自测日子t3。则被检件的总漏率Q 的求算工式如(1)所显示。

3、放样时间对测试结果的影响
在核工业器检漏阶段中,终值考试图片开始后到考试图片放样值一段时段隔,被检件达到本身的漏率在立刻外泄,为此类环节的外泄实施具体研究,如果从终值考试图片开始到样值考试图片开始的时段隔段(t3- t2),被检件的外泄为曲线的关联,此段时段隔的外泄值μ'





由图2 可以看出当航天器的漏率小于10- 4 Pa·m3/s 量级时测试漏率值与真实漏率值曲线基本重合,即两者之间的误差较小;当航天器的漏率值大于10- 4 Pa·m3/s 量级时测试漏率值与真实漏率值曲线误差逐渐增加并迅速变大,并且测试漏率值不再呈现线性变化;当航天器的漏率值大于10- 2 Pa·m3/s 量级时测试漏率值严重偏离真实值。航天器产品测试过程中,不同量级下的测试值与航天器真实泄漏值的误差变化,如表1 所示。通过表1 可以看出真实漏率在从10- 6 Pa·m3/s 至10- 2 Pa·m3/s 之间增加时,相对误差值也在逐渐增加,当测试量级为10- 2 Pa·m3/s时,相对误差已经接近100%。
表1 真识漏率与测试软件漏率中的数据误差社会关系

根据目前航天器检漏经验,假设航天器的总漏率真值是1×10- 4 Pa·m3/s,检漏过程中的放样量为0.5 MPa×18 mL,则放样时间与总漏率测试值和总漏率真实值之间的关系,如图3 所示。由图3 可知放样时间越长,测量值就会越小,测量结果与真值之间的误差就越大。这是因为在放样时间内,航天器泄漏仍在继续,而新泄漏出来的示漏气体量并没有计算到终值结果内,而是被当做放样量的一部分,使得放样量高于真值要求,所以航天器泄漏量越大,测量结果与真值之间误差也就越大。

4、结束语
完成这介绍,可以实现下例目的: (1) 可能会导致航空工业器检漏检测具体步骤中的检测不准确的的很多的反应原因中,放样时间间隔段是是一个为重要的的反应原因,在检测具体步骤中应该做到减少放样时间间隔段;(2) 通过对原有的航天器总漏率计算公式进行分析,发现其真实漏率略大于测试漏率,当放样时间小于1 h,测试小于10- 4 Pa·m3/s 量级漏率值时,相对误差范围在工程应用中可以接受,而在测试大于10- 4 Pa·m3/s 量级漏率值时,相对误差太大,需要进行修正;
(3) 在末来的航天工程器检漏考试操作过程中运用算起方式(4)对总漏率考试值来修或通过采取算起方式(3)来总漏率算起能提高自己考试值的合理性。











氦质谱检漏能力是机械泵检漏行业里难以少于的属于能力,用这般能力
基于被检件的精确测量需求能将氦质谱检漏方案为四种类型、,的是
大容器等检漏技术应用,中国国内和外的形式滴水泡法、火烛法、生物工程法、肥皂粉法
原则孔状管端裂痕图片确立的大体系统理论, 浅谈裂痕图片检漏法的道理、流出率
用含带卤化物(氟、氯、溴、碘)的固体为示漏固体的检漏医疗仪器被视为卤化物