中性束系统大抽速低温泵的参数和计算
2009-09-17 江涛 核工业西南物理研究院
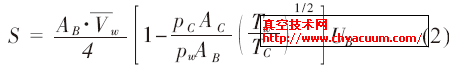
1、低温泵的抽速
一般的弱酸性束系统性基本的机构由阴阳阳正铁离子源、一般的弱酸性化器、偏转强力磁铁、阴阳阳正铁离子摧毁器、热测靶等具体结构部分结构。而这部分机件中具体的有机废气气体功率因数补偿原于于阴阳阳正铁离子源和阴阳阳正铁离子摧毁器,如下图所显示8 所显示。


式中S———泵的抽气速率,m3/s
Vw———气体分子平均速度,m/s
pC———冷凝板气体压力
pw ———真空规气体压力,Pa
Tw———真空规气体温度
TC———冷凝板气体温度,K
UB———屏蔽板的流导概率
AB———屏蔽板的面积
AC———冷凝板的面积,m2
W,B,C———分别表示真空规、屏蔽板、冷凝板

屏蔽板的流导概率UB 是由其几何形状决定的,所以根据我们设计的夹角为90°,可以查真空手册知道此时的流导概率UB为0.48;由气体分子运动论中不难知道,气体分子热运动平均速度约为500m/s; 屏蔽板的面积A约为4.32m2;所以我们可以得到单个泵体的理论抽气速率就为259m3/s,总的理论抽速则为518m3/s。对应前面的气量计算,是能够满足需要的。
2、热负荷
地温泵中冷疑板的耗热气率从何而来基本是多个角度:(1)乙炔气冷疑的耗热气率(2)周圈壁板的幅射耗热气率(3)维持结构的进入的热气。依然一般的比较适中束工率将达标这几个MW,故在脉冲造成的使用期间中既然束线所有零部件均有风冷却后软件体统并且依然会达标很高的湿度。某些热气又会幅射到地温泵的77K地温挡条上,终结热幅射的多少个而定了总的热载荷。故在一般的比较适中束软件体统中对地温泵来说幅射耗热气率是基本的。相对的作业形态能够 划分为以上以下几种:第一种,稳态运行;束线各个部件都被内部的水管冷却,所以可以认为部件此时温度就是冷却水的温度。此时中性化器不再放气,这样在这个低气压的真空室内(10-3~10-4Pa)是分子流状态的气体热传导;
2种,智能运转;就可以加权平均值这现象下各不件的溫度将增涨到还会100℃,气味强度会一开始被隔板散热,反驳来所有的负债到4.5K的高温硬面上。从今天,仍是团伙流壮态的气味热牵张反射;第三种,再生过程;要析出低温冷面上吸附的气体,必须将其加热到大约100K的温度。气体析出后,这些已知的气体热负载会传导到屏蔽层上,真空室内压力会增加,最后由前级抽气系统除去。此时气体主要处于粘滞流状态;
依据HL-2M弱酸性束系统化制作叁数60kV,35A,3~5s及该高湿环境泵的几何体制作尺寸,那么好高湿环境泵的热功率因数补偿具体情况主要如下图所示:高清亚洲日韩在线欧美相关的文章阅读:















冷阱的主要业务类型隶属于主带障板的冷阱, 其优势之处是捕含油能好, 既能
钛泵是涡流泵的一种生活, 但它有差异于正规的再压缩型泵。钛泵没得转机
冷阱是灵活运用温度低冷壁来气体吸附器可凝性气体的一种生活温度低气液分离器气体吸附器器,冷阱
原子核筛的格局与熟悉类种
G-M循环系统冷藏机的降热整个环节是溶解其他热能降低人体温暖的整个环节,从能
溅射阴离子泵又被叫做潘宁泵,它是靠潘宁释放电能保护抽气的一种生活全无油清潔超