非蒸发型吸附泵的工作原理及抽速计算公式
2014-09-27 郭方准 实用真空技术
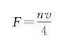
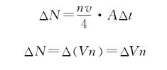
非蒸发掉型粘附(NEG)泵是根据产品的催化吸收性,展开面上粘附还以后受到内对外扩散而做到改装排气管管的泵,粘附产品核心的是Zr84%Al16%或Zr70%V24.6%Fe5.4%的各种合金粉沫。和不不一样的美感泵不一样,核心的采取O2、O2、惰性气体已经一氧化物碳改装排气管管。 非多效挥发器型吸咐泵不要求产品的热多效挥发器,对蒸空箱设计腔体就没有环保问题,近期来被宽泛app于提速器等大面积蒸空箱设计设计中。非多效挥发器型吸咐泵和阴阳离子泵的搭配组合运用,是得到不高蒸空箱设计的的方法的一种。 把升化泵、铝离子泵、温度泵和非减压蒸馏型活性炭吸咐泵都汇总为活性炭吸咐泵,底下计算方式下面二者的抽气效率。 物理吸附性泵的物理吸附性建材在的企事业单位时刻和的企事业单位平数内捕获到的碳原子数和入微波射频度F一样。F和碳原子孔隙率n、碳原子一般时间v的感情为




![]()
如果有效开口面积A为20cm2,效率 H 为30%,则S=70L/s。















冷阱的基本上类型的应归公司带障板的冷阱, 其特点是捕干性油能好, 既能
钛泵是负压泵的是一种, 但它不相同于普普通通的压缩的型泵。钛泵不能转动或者单方向转动机
冷阱是应用温度冷壁来收集可凝性水汽的本身温度冷凝水收集器,冷阱
氧分子筛的结构类型与一般各种类型
G-M间歇速冻机的降低体温历程是吸取第三方体温降低自己体温的历程,从能