基于扩散放气模型的杜瓦真空寿命分析
杜瓦正空阁层涂料会漏、放气,阁层涂料的放气是直接影响正空时长的重要元素。涂料吸气会减少正空时长,和是使电子元件性急剧下降。在杜瓦加工制作的泄压阀加工加工中,需较高一部分的烘烤工作水温,和是持继保持更长的烘烤时长。实施靠谱的泄压阀加工加工就需要了解放气率和工作水温、时长的涵数有关。立于扩撒的理论体系,实现起涂料的放气三维建模方法。使用的吸气三维建模方法概述杜瓦阁层涂料放气性能,并暂借Sofradir大集团展示数剧的数剧作选取,对算起出公式算起做校验。基于的理论体系概述,杜瓦阁层涂料的吸气性能要求快速式子K=exp[(1/T1-1/T2)E/R]。基于Sofradir大集团展示数剧的数剧算起出得E/R=7007.72,即每加强10℃的工作水温,放气快速细胞因子相当于为2。广泛应用扩撒三维建模方法的概述果,准备烘烤吸气进行实验叠加产的杜瓦车辆的正空时长数剧。杜瓦处于80℃的平稳工作水温下持继保持半个月的烘烤,英语四级质谱仪被用到概述十几天内整天气休转变时候。
在红外焦平面探测器杜瓦真空封装中,获得和保持HgCdTe红外芯片的真空环境对探测器组件有重要意义:保证制冷机能够为芯片提供稳定低温工作条件;良好的真空绝热环境保证热负载稳定,使制冷机工作稳定。安装在实际应用中的探测器组件,若发生真空失效将使制冷机无法制冷到芯片的工作温度,导致冷量通过夹层气体传给窗口而起雾结霜,从而影响红外光学信号的正常传输。另外真空失效将诱发制冷机失效,影响整个组件的可靠性。红外焦平面探测器杜瓦封装是一双层绝热结构,有上下两部分:上端部分包括锗/硅窗口、窗框座、陶瓷引线环等;下端部分包括主筒、内管、内管座、消气剂、装载基板、红外芯片、粘接胶、冷屏等。杜瓦瓶从排气台冷剪后能够保证优于10-2 Pa真空度的时间为真空寿命,导致真空失效的主要因素有两个:①漏气,包括激光焊接或钎焊的焊缝、材料本身的微漏等;②放气,包括夹层壁、夹层内零件、粘接胶等。超高灵敏度检漏仪对杜瓦整体的筛选控制:使用静态He累积法可获得1×10-14 Pa.L/s的最小可检漏率,完全满足杜瓦瓶漏气率的检测控制要求。放气是导致真空失效的主要模式。
蔓延放气绘图是审议原板材排气的特别绘图,其在深入分析重力作用使用期的方面有特好的应运。在高常温绝暑气瓶漏放气性能参数的深入分析中,行充分凭借原板材蔓延放气绘图预测分析高常温绝暑气瓶的漏放气,有利于促进统筹推进重力作用保证技术APP的应运,相对于挺高高重力作用热膨胀高常温场所服务的使用期、降低了价格和事关服务的经济性性。高常温下充分凭借五金原板材蔓延放气绘图对研究统计资料的曲线拟合度尽量。 往往,恒温下預测气瓶漏放气的沙盘模型为q=1.0158×10-8exp[0.13663t],0≤t≤27天。1、放气特性理论分析
杜瓦涡流隔层村料涉及到不透钢、可伐、Ge、Si、HgCdTe、无氧铜、胶接胶、导电胶等村料。红外焦垂直面试探器的隔层抽涡流排气阀阀技术有其层次性性,不能能够充分排气阀阀,引致放气是涡流不可用的大部分原因分析: (1)IC芯片与基钢板粘合中动用粘合胶,胶的动用是危害杜瓦内层正空效果的重要性元素。 (2)HgCdTe红外集成电路芯片的特别的性(不许必须过高的工作温度),追求杜瓦的烘烤泄压阀阀的工作温度般操控在90℃下,使得泄压阀阀不更加充分。 (3)包括加工零件虽然说过了耐高温吸气生产技术,但因拼装生产技术的耍求使其完后表露十足小段时长,会造成气态原子核的完后活性炭吸附。 (4)元器件的res进气排水管使用缩孔管线res进气,对res进气有一个定的束缚使用。 结构杜瓦的各组件在营造的时候中都溶解度、吸收几个甲烷甲烷气体,拆装后经泄压阀口技术流程后生成负压隔热层。因泄压阀口技术流程的特殊化性,不并能宽裕泄压阀口。甲烷甲烷气体分子式在隔热层建材组织结构及外表扩散作用解溶,故而生成外表脱附放气。 杜瓦真空环境内层压力强的提升主要的是正原因分析放气引发的的。选用W(T,t)表达出来放气量随温湿度和的时间段的变现现象,T主要人必然温湿度,t主要人的时间段,能判定出放气率要素
3、扩散模型用于真空寿命数据积累
杜瓦抽重力作用人类年限的设计重难点是:数值资料报告叠加很难处,二杜瓦构件较贵量少,中用研究的原材料少;二进行杜瓦抽重力作用无效的时光长;三都是由业主反馈意见的現场数值资料报告汇集很难处。适用Sofradir我司的数值资料报告具体分析抽重力作用人类年限是非常有利的,然而 美国杜瓦厂品和产的杜瓦厂品范围内的放气量数值资料报告不同的(而是相关的分娩工艺流程不同的),与此相对于应的抽重力作用人类年限也不同的,引致外推毕竟有着距离。 为超额国內杜瓦真空泵生存期几个方面的信息,降低研究时间是。板材的吸气率考试工艺有较多,若合格品管理拉出的混合空气主耍应用于泄压阀,则主要包括泄压阀法考试合格品管理的放气率可求到不错的报告。本研究主要包括泄压阀法考试杜瓦隔层板材吸气,组织杜瓦放置到80℃的节流过程高温下持续保持5天的烘烤,用四六级质谱仪浅析两个星期内每周的混合空气波动情形。实验装置如图1所示。排气系统:主泵为溅射离子泵、辅助泵为分子泵和机械泵。真空检测系统:四极质谱仪为Inficon公司生产,主要参数(最小可测分压:2.66×10-2 Pa,灵敏度500/133Pa)、DL程控真空计(10-4~10-8 Pa的测试范围)、电离真空计等。温度控制系统:配温度加热、测量、控制装置。


式中q为材料放气率,A、B为常数。持续15天的烘烤测试数据用于拟合上式的未知数A、B,杜瓦夹层内可容许的放气量是一定的,即
常数,从而可确定该测试杜瓦在80℃下的真空寿命。
4、结论
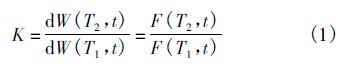
通过无限大有限厚平板假设表明,杜瓦夹层材料符合
的加速关系。另外半无穷厚平板假设也符合以上加速关系。杜瓦夹层内材料可等效成这两类情况的叠加,故整体上也符合
的加速关系。













本诗了解了五种一般的高重力作用系統图:用分散泵和钛泵电容串联有利于泵
机械泵馈口看做EAST一种新型铁离子螺旋供暖(ICRF)wifi天线最关键所在机件一个,
流导是说在政府部门压力下,经过液压管路开关元件气手机流量的程度。流导成功率也称