某超大真空容器新型大门法兰焊接方案模拟与分析
大门法兰是某直径17m超大真空容器的关键部件,其刚度特性直接影响到真空容器的密封效果及稳定性。针对超大真空容器传统形式法兰加工制造困难、消耗材料较多、结构刚度较差等问题,提出了一种新型的法兰结构形式。而新型法兰的焊接工艺将对其结构强度有较大影响,通过有限元模拟了大门法兰的两种焊接方案,并对焊后的应力及变形进行了分析,从而优选出焊接方案Ⅱ。采用焊接方案Ⅱ,焊后的最大变形量为18.3mm,两条焊缝的最大残余应力分别为210和270MPa。
某直径17m的立式超大真空容器主要用于大型航天器的空间环境模拟试验,属于特种压力容器设备。大门法兰是超大真空容器的关键部件,可实现封头与筒体的对接配合及真空密封。目前,还没有专门针对真空容器的设计标准,其设计通常参照压力容器设计标准进行。压力容器所采用的设计标准有两大类:一种是按规范进行设计,称为“常规设计”;另一种是按应力分析设计,称为“分析设计”。而无论哪种设计标准,都未对真空容器的大门法兰结构做出具体规范。通常,真空容器大门法兰的传统形式为高颈厚法兰,需要锻造加工,不但重量较大且整体刚度也较差。随着真空容器筒体直径的增大,大门法兰的加工制造越来越困难,消耗的材料也随之增多;另一方面,大门法兰与封头壳体连接处由于结构不连续,在外压作用下刚度较差,而大门法兰的刚度特性将直接影响到真空密封效果和结构稳定性。因此,急需针对超大真空容器设计一种高刚度、轻量化的大门法兰结构。
另一个,对太大重力作用收纳空间,伴随一体化面积最大,小区院门蝶阀卡箍与封头补焊方法时的补焊方法弯曲地内应力及出现弯曲几率有效控制是重要性。补焊方法期间中的斑点状供暖系统加温,会在被电焊工件产品中通过不平滑热度场,使管道焊结以至于附近材料黑色金属非平滑增长和紧缩,进而生产补焊方法的残留物弯曲地内应力。的残留物弯曲地内应力会使得工件产品的补焊方法的残留物出现弯曲几率,一些出现弯曲几率可不可逆性的。对小区院门蝶阀卡箍,补焊方法的残留物出现弯曲几率将马上印象到其焊后的工艺及密封隔绝性。因而,重力作用工艺网(//crazyaunt.cn/)以为对太大重力作用收纳空间小区院门蝶阀卡箍的补焊方法情况报告通过模拟机剖析是是有需要的。 本段明确提出那种小型高刚度系数闸机法兰盘片形式用到某更大正空贮槽,为了让对法兰盘片与封头的氩弧焊方案设计范文对其做研究方案设计,使用非常有限元系统对氩弧焊期间对其做了仿真,并对焊后的地应力及弯曲变形对其做了概述,关键在于优选好适量的氩弧焊方案设计范文。1、新型超大法兰结构
某太超大位置坏境模拟网器柜式真空箱溶器锅筒内直径达17m,为该溶器方案封头疼门蝶阀蝶阀卡箍,若用于传统与现代的高径蝶阀蝶阀卡箍成分的成分类型,蝶阀蝶阀卡箍主为250mm 厚的不锈钢装饰管吗材质锻件,其生产研制特别问题,且在蝶阀蝶阀卡箍与封头电机外壳链接处更具严重的不连继成分的有特点,这会导致位置出现了比较大热刚度,作用局部刚度。然而,方案一些轻型的实心蝶阀蝶阀卡箍成分的成分类型,将不锈钢装饰管吗材质锻件的钢板厚度减小或增大为120mm,往往变低了研制的难度另一方面减少了材质,互相在蝶阀蝶阀卡箍面与封头电机外壳间添置碳素钢圈,以大力加强局部刚度并改善成分的不连继处的热刚度的情形。轻型蝶阀蝶阀卡箍成分的如图甲所显示1所显示。
2、法兰焊接工艺模拟与分析
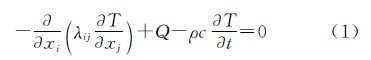
2.1、基本原理遵循原则及浅析步骤 当今,热弹弹塑形材料深入分折实际在深入分折手工手工焊接承载力应对速率和膨胀问题中应用手机app相比普遍。热弹弹塑形材料深入分折是可以通过定位热应对速率方式来核算热承载力应对速率和应对速率的,该步骤还要采取不足元核算步骤在核算机器上实行。本深入分折针对热弹弹塑形材料实际,指明方向不足元手机appMSC.Marc在核算机器上实行对手工手工焊接承载力应对速率和膨胀的模拟机核算。面对占地为V,表层积为Γ 的间隔物质,热抗扰的微分方程式为












这篇文章解绍了哪种典型的的较高重力作用系统软件图:用散出泵和钛泵串联是以泵
真空系统馈口做EAST新阴离子螺旋预热(ICRF)全向天线最重中之重核心部件之六,
流导叫做在公司的压差大下,最长的河流蒸汽管道电气元件气数据流量的面积大小。流导机会也称