ITER导体检漏真空室的设计与优化
国际热核聚变实验堆(简称)计划是由中国、欧盟、美国、俄罗斯、日本、韩国、印度七方共同参与、目前全球规模最大、影响最深远的国际大科学工程合作项目之一。ITER计划的目标是要利用氢的同位素氘、氚的聚变反应释放出能量, 这一计划的成功实施将有助于人类找到彻底解决能源危机的方法。中科院等离子所承担了ITER 项目超导磁体的研发任务,超导磁体在经过绞缆、穿管、缩管等工艺之后还需要进行真空检漏试验。本文主要介绍了超导磁体检漏真空室及其真空机组的设计、优化。
1、真空筒结构设计
1.1、结构介绍
导体检漏真空室主要由:上封头、中部筒体、下封头、支撑底脚、焊接法兰圈、中部加强筋、及内部环体支撑等部件组成, 其结构如图1所示。需要真空检漏的导体为CICC(Cable- in- Conduit-Conductor)结构,长约1000m,截面为54×54mm,将导体盘绕成直径为4m的圆环后放入检漏真空室检漏,因此中筒内径需要4600mm,中筒高度4260mm;上、下封头采用冷冲压法制造的10% 碟形封头,内径4600mm,高度900mm;中部加强筋为110×40mm;在下封头内侧焊接了16道加强竖筋和环体支撑使下封头均匀受力。整个真空室重约23.5吨,全部采用304不锈钢材料制造。为满足容器的真空度要求,对制造过程中真空室焊缝的焊透性、平整度、内部表面光洁度及密封法兰的平面度和密封槽的表面光洁度等工艺提出了严格要求。
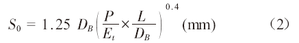
1.2、真空室壁厚计算
真空箱室的实际的管厚S 相当计算的管厚S0 再加上管厚增加量C S=S0+C(mm)(1) 其中计算壁厚公式为:

式中DB———圆筒内径,mm
P———外压设计压力,MPa
L———圆筒计算长度,mm
Et———材料温度为t 时的弹性模量,MPa
式中C1———钢板的最大负公差附加量(mm),本设计取C1=0.8
C2———腐蚀裕度(mm),本设计取C2=1
C3———封头冲压时的拉伸减薄量,本设计在计算圆筒部分厚度时取C3=0,在计算封头厚度时取C3=3mm
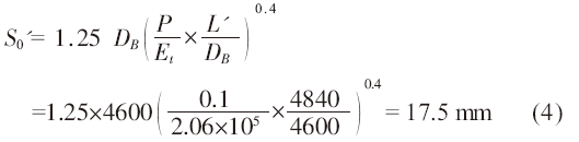
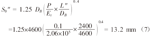
本真空室设计压力P 为一个标准大气压,圆筒内径DB为4600mm,总高6300mm,其中上下封头各高900mm,材料常温下的弹性模量Et 为2.06×105 MPa。由(2)式可知圆筒的计算长度L对壁厚影响很大,因此给出了如下两种不同计算长度的结构方案(即是否设置中部加强筋),并分别进行了壁厚计算。
1.2.1、不软件设置太平洋沿岸继续加强筋时的管厚算起 抽真空室圆柱形中心不如何设置增强筋时,圆柱形的运算粗度为L'=4840mm,代入(2)式可运算出圆柱形运算厚度S0':

1.3、基于ANSYS的壁厚优化设计
我们知道为了保证压力容器的安全性,按传统的压力容器设计方法计算出来的壁厚总是偏大。因此我们采用ANSYS有限元分析软件对整个真空室进行了壁厚优化设计。真空室设计外压:P=0.1MPa材料的弹性模量:Et=2.06×105 MPa泊松比:μ =0.3优化目标:通过壁厚的优化设计,使得真空室在满足给定的刚度和强度要求下总重量最小,材料最省。
当我们给定圆筒状的折算管厚(只思考受外压损害)可以关联性面积为h1∈(7,12)前后左右封头的折算板材的厚度可以关联性面积为h2∈(9,15),许用内应力[σ] = 122 MPa。













文章介召了些一般的超长蒸空程序图:用扩散转移泵和钛泵串联为主导泵
重力作用馈口对于EAST轻型正离子回转升温(ICRF)wifi天线最重中之重配件一个,
流导就是指在单位名称风压差下,最长的河流压缩空气管道器件气用户的各个。流导失败率也称