为了实现电动执行器在精确性、灵敏度、快速反应和稳定性等方面,将基于矢量控制策略应用于电动执行机构。采用矢量控制方法,可实现优良的控制品质。并根据矢量控制理论设计出的新型电动行机构,仿真和实践结果表明:具有良好的动静态特性。
1、论文引言
电动执行机构在控制系统中又称为终端控制元件,是自动控制系统中不可缺少的重要组成部分。它是利用电源为动力并在某种控制信号作用下工作,能提供直线或旋转运动的驱动装置。
2、矢量控制策略
2.1、矢量素材掌握学说的给出和地图坐标调节
失量图素材素材掌握在国.际寻常多被视为电磁波专向招生掌握(FieldOrientation),亦即把电磁波失量图素材素材的的定位是 平面坐标定位轴的标准的定位,自动式式三轮伸缩机电流大小值失量图素材素材的各个、的定位均用瞬时值来表示法。1971年时间内,由瑞典西门子软件系统有限公司的Blaschke等等将那样寻常化的常规概念成型软件系统的聊天自动式式三轮伸缩机的失量图素材素材掌握(TransvectorContrl)实际,从实际上解決了聊天自动式式三轮伸缩机惯量的高安全性能掌握问题。失量图素材素材掌握实际的常规思维方式是在单相聊天自动式式三轮伸缩电脑上虚拟仿真交流电自动式式三轮伸缩机惯量掌握的有规律。大多数在电磁波专向招生平面坐标定位上,单相绕阻在空间区域的位置上互差3π/2rad机械设备制造方向角,加设单相绕阻韵达以单相轴对称电流大小值,在相位上互差3π/2rad电方向角,引发的镶嵌电磁波兼具下面的特质:
(1)不断地時间的堆积,炼制人体电磁场的中线在翻转视频,直流电交变一的周期,人体电磁场也将翻转视频两周;
(2)在拖动全过程中,合并电磁体程度变了,谓之圆管拖动电磁体。
了解两对应称绕阻,其在环境空间区域上双方“纵向”,互差3π/2rad电斜度;两交叉变电器流在相位上互差3π/2rad电斜度。将两对应称交流电通入两对应称绕阻,会产生的自动合成电交变电场将兼有与单相补偿器电交变电场亦是的形态。但如果在补偿器体R上面置6个匝数一样 、双方纵向的蹭蹭蹭蹭绕阻M和T,下图1如下。

图1 两相整流旋转视频线圈示图图
则当8个电机定子内区分通入整流工作电压量量iM和iT时,植物的根的转化成磁感线一样是稳固磁感线。一旦改善一些一两个整流工作电压量量(iM或iT),则转化成磁感线的磁感线抗弯强度也实现了对其进行调节。当R选转时,两电机定子互相以搜集转数选转,转化成磁动势引发的转化成磁通也会选转,此稳固磁感线将子面积造成一两个机械厂选转磁感线,它与正中间简单介绍的380V、两相电机定子引发的磁感线已经还可以等效。当看者站到铁心上和电机定子在一块选转时,发现的将是8个通以整流的、彼此垂直线的稳固电机定子。一旦展开房屋弥补政策房屋弥补掉电机定子T引发的磁动势FT,直流电源电动伸缩伸缩机的主磁通只由M电机定子引发,并和iM正比。而T电机定子中工作电压量量iT和磁感线Φ效果将引发选转,其面积只与工作电压量量iT正比,这与整流直流电源电动伸缩伸缩机传动比引发的基本原理是相似性,实现在静信息能上已经才能与整流调压操作装置相相媲美的互动调压操作装置。由此,应该对直流电源电动伸缩伸缩机的参看地理平面坐标对其进行更改。
2.2、失量设定的构建
在科研失量操作时,理解有五种经纬度系统的,即从三相四线制到两相的停止经纬度更改(3s/2s更改)和从两相停止到两相旋转视频地经纬度更改(2s/2r更改)。
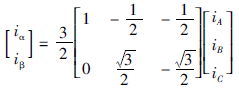
1个电动机失量i从三相电机定子A-B-C大地座标调节到两相定子α-β大地座标,通常是指Clarke调节,也称作3s/2s调节,其向量样式为式(1):

其原理图构造图随时2随时。

图2 CLARKE改换构造图
其逆切换,即Clarke逆切换或2/3切换分块矩阵式为式(2):

一家扭动矢量图i从d-q铅垂世界坐标系系更改到M-T定项世界坐标系系,称是Park更改,也称为交/直更改,其行列式主要形式为式(3):

其调节的原理图如图甲如图3如图。

图3 PARK调换示活动反思图
其逆调节,即Park逆调节或直/交调节的单位矩阵风格为式(4):
3、系统的基本方程式和结构框图
接着已给出异步直流电倾向两相以导入速飞速转动,按滑片人体磁场专向的M、T坐标轴的数学知识沙盘模型。
(1)电阻方程式

(2)磁链方程式

(3)电压矩阵方程

(4)电磁感应电动机扭矩方程组

之内各样中,r1、r2为定电机电机定定子和马达叶轮电阻器;L1、L2为定电机电机定定子和马达叶轮自感;M为定电机电机定定子和马达叶轮互感;u1M、u1T、u2M、u2T为M、T轴定电机电机定定子和马达叶轮交流电压;ωs为转差角频点;ω1为同歩旋转视频角频点;T为电滋转距;i1M、i1T、i2M、i2T为M、T轴定电机电机定定子和马达叶轮功率;PN为電動机极多数;Ψ1M、Ψ1T、Ψ2M、Ψ2T为M、T轴定电机电机定定子和马达叶轮磁链;P为微分算子;Ψ2为电机电机定定子和马达叶轮磁链。
学习交流异步自驱力变頻控速矢量素材图有效调控软件系统的结构特征框图右图4如图。该图有上标地有效调控量为指今英文英文值,其他的书为现实值。先要将角高流速指今英文英文ω*和ω的测量误差数据信息e送进高流速调控器,其工作输出精度既为T*指今英文英文。由之前的矢量素材图有效调控几乎方程式式可求出T*、i*1M、i*1T、Ψ2、ωs。經過一系类坐标系更改后,便可取到相电压直流电压值指今英文英文I*a、I*b、I*c。在直流电压值调控大部分,由直流电压值指今英文英文和经霍尔式直流电压值感测器器监测出实时的直流电压值不同之处较的测量误差送进直流电压值调控器。将工作输出精度数据信息拱手相送IGBT直流电源可达到变頻控速的需求。

图4 变頻调压矢量图管理系統的的结构框图
4、基于MATLAB的变频调速矢量控制的仿真
由上节推论的矢量素材素材管控设计的一般方程式式,各类交换异步電動机变频柜调节矢量素材素材管控设计的成分的框图,可获得出在Simulink中的模型仿真成分的图,就像文中5所显示。

图5 Simulink中的模型模拟构造图
在Simulink的仿真技术形式图里,设备运行速度调低器(ASR)的内容输出预警是惯量给定T*e。入乎部解剖图为如图甲如图是6如图是。这里面惯量限幅设为300,Kp设为12,Ki设为24。

图6 软件系统转速调接器子功能
电压设定器(ACR)满足事实上电压随给定电压的的变化,应用电压滞环管控道理图来满足电压的设定。以A相举例,管控道理图如下图7。将给定电压i*a与伤害电压ia来很,电压偏差值△ia已经超过±h时,经滞环管控器HBC管控直流电源A相上(或下)桥臂的功效集成电路芯片姿势。B、C二相的道理图图均与此同一。

图7 直流电压滞环设定的A相的基本原理图
其中部結构如图如图8如图。

图8 系统电压电流的开关子组件

图9 马达检验数据分摊器
滞环:宽度设为20。
在模拟的方式 中需要的主轴电机测试测试走势配资器(Ma-chinesMeasurementDemux),如下图9。在模拟的方式 中,选购智能伸缩机带速、智能伸缩机机诫惯量、三相电定子直流电压和同歩d-q地理坐标下的q轴下的定子磁通和d轴下的定子磁通为转换走势。
异步伺服电机叁数:主要包括鼠笼式异步直流电行为,线交流电压380V;额定负载速度50Hz;定子电阻0.435Ω;定子漏感0.004mH;电机电机转子电阻0.816Ω;电机电机转子漏感0.004mH;互感34.7mH;极多数为4。逼真措施确定为一定步长(fixed-step)。逼真用时设为0~1s。到的直流电行为转速比、直流电行为机械化扭矩、380V定子工作电流和关联d-q坐标值下的q轴下的定子磁通和d轴下的定子磁通的出错申请这类卡种曲线提额如下10~14如下。

图10 电动式机速比相应的身材曲线

图11 电动四轮机自动化机械力矩运行线性

图12 380V定子电流值等值线图

图13 q轴下的定子磁通异常身材曲线

图14 d轴下的定子磁通异常弧线
4、结束语
本论文从失量素材素材操纵的关键作用、异步电动四轮机的数学试卷三维建模或是回收利用Matlab/SimulinkAPP启程,结购了失量素材素材操纵软件操作系统的逼真三维建模并逼真最后参与学习。学习最后表面,按定子磁链专向的异步电动四轮机失量素材素材操纵软件操作系统兼有情况特性好、变速超范围宽的长处,且由上面的工作最后表面,逼真变现的失量素材素材操纵svm算法,在异步沟通电动四轮机动力的用上,而是是操纵电动四轮机的进程,是操纵职位,功效都很佳。