介绍一种由直行程电子式电动执行器和放料阀组成的电动放料阀,该阀几乎具备放料阀本身所要求的各种动作变换功能以及阀开度信号功能和手动功能。阀的开启和关闭速度、输出轴的转动力矩,取决于电动机的转速、功率和传动机构的传动比。执行器由控制器、传动机构、开度检测机构、联结机构与手动机构组成,可实施远程操作或就地放料。
智能实行组织机构是主动化体系中的其中一种实行结构件,可有直往返和角往返两个类。其推送把控体系或调接器送上的把控讯号,修改使用全局变量,按制定请求变为成直线方程位移或角位移保持调接阀,故而满足步骤把控或体系的主动调接。
微机检测技能性、微机械性技能性的app,导致/微机+随动系统0组成动态的微cpu类型直流电动审理公司,由微处置器到位警报交换、调整原理的总体、调整指标更改、动态显示灯、管理量的读取等特点。
下面简述这种适用自动化型调节器的直过程自动式完成学校,控制放料阀组成部分自动式放料阀,在现场适用中具有极其喜欢的效果好。
1、电动放料阀工作原理
自动三轮放料阀由直日程电子元器件式自动三轮完成器与放料阀组建,见图1。以220V讨论会220V不可逆转异步自动三轮机(含小齿轮滑行)为完成器,也常分为宜于带的冲击力矩的经常性事情的自动三轮机,如高转差率AOC型全封闭环吹式单相异步自动三轮机。
智能化化掌握器为直流电动式三轮四轮式连接器设备智能化化的比例式台达伺服发电机电源线路,发收掌握程序或设定器的DC4~20mA或DC1~5V无线手机信息,经A/D变为准时到达CPU确定运算整理,的同时CPU与产于直流电动式三轮四轮式连接单位的调阀无线手机信息及上、最高值职位确定更后带动发电机摆动,使用齿圈减速体育运动后驱动打出轴作上、下位移,之后推动读取无线手机信息对直流电动式三轮四轮式连接单位打出位移的掌握。虽然,直流电动式三轮四轮式连接单位打出现在的现实职位经CPU整理及D/A变为后,以规则的4~20mA无线手机信息输给观众作其他的应用场景。放料阀按成分分上展式和下展式,其体育运动件阀杆使用紧锁螺母连接方式阀芯,阀芯切合阀芯座呈密封隔绝工作状态,确保腔内料液不液化气泄漏。阀杆做直流电动式三轮四轮式连接器打出轴上、下位移,使阀芯方案开或关的动作,做到自动式放料的的目的。

图1 電動放料阀组成图
放料阀常常与作用釜整套搭配利用,大部分设计的阀芯座兼而有之釜底法兰盘片模块,即运用釜底法兰盘片焊在作用釜上。
那么极易造成对焊发生,导致阀芯与阀芯座密封盖隔绝不良的,几乎没有效果。全部放料阀设计的概念应考虑釜底活套法兰部对焊发生的虚幻,宜将阀芯座的密封盖隔绝耐热性和釜底活套法兰部的连接起来特点分离出来,如图甲如图所示1如图所示,会有效地防止阀芯座因现象装置施焊所造成的发生。
2、电动执行器结构
如同2示,自动三轮执行工作工作器主要由智力化型操控器、传输链公司、开启度检则公司、结合公司和带有大量手動公司组合,开展网络信号发送到、变换、运算,电脑指令自动三轮机在运转,采用同歩带传输链旋转套变换为输入输出电压轴的回转的运动。与此一同,开启度检则公司将输入输出电压轴位移返馈给智力化型操控器,组合反馈控制的操作进程。结合电气支架使执行工作工作器和放料阀联连成一片体,无电情況下可带有大量手動。

图2 自动制定器
2.1、实施器传送公司
传动装置链链中介机构常见由能量系统回旋套与的输送轴根据。电动三轮机能够 同部带驱动包能量系统回旋套,套壁上加工处理门牙力度高、螺距副对比较适中与艺性优质的方形螺距。传动装置链链的输送轴的止转销在能量系统套直平面曲线销槽里手机定位,并随传动装置链链回旋联通。回旋套能够 滑动联轴器至于能量系统套中,因此控制回旋套的扭动动作变为为的输送轴的平行线位移,见图3。

图3 来执行组织齿轮变速箱组织
异步智能四轮机充许极大超裁扭力,如高转差率智能四轮机,其点火扭力可大于公称扭力2.2~2.3倍。闭路阀内,最好荷载发生于气动阀门闭合的末叶或打开成长期,常见时段甚短。建议选用智能四轮机宜充分考虑过电压指数公式。
2.2、实行器阀位探测结构
读取轴止转销快速连接阀位汇报机制机购,将读取轴的线路足球运动位移(阀芯调阀)经齿条、传动齿轮汇报机制给精密五金导电材料电势差器(存在齿隙应对机购),由电势差器改变成联通号再汇报机制给有效开关板。当来自于有效开关模式或开关器的设置预警和阀芯的调阀预警之差为零时,无刷电机将已停运作。执行工作机购定位的给定值与实际上值的相对比较,是在微外理器的电子为了满足电子时代发展的需求,电线中来。微外理机和的能力方案还可以来不同于的组合名字,控住显示、报警器、旅行路线规定、分程有效开关等的能力。
读取轴定位子控制由轴承执行力,见图4。当睡眠环境启闭人设/正的行动睡眠环境0时,将输人走势慢慢的减慢至3.7~3.95mA,调准并防松连接定位轴承,使定位启闭的行动,读取轴为止积极往右田径运行;当睡眠环境启闭人设/反的行动睡眠环境0时,将输人走势慢慢的减少至20.2~20.5mA,调准并防松连接定位轴承,使定位启闭的行动,读取轴为止积极往右田径运行,最后改变读取轴逐渐位子的定位。

图4 限位器掌控
相同,改变了键入的信号灯,验证阀杆没动时,立即扩大或减掉键入的信号灯,使输送精度轴内螺旋弹簧缩小。当输送精度轴下调约1mm,整改凸轮轴,限位器器面板开关拉伸动作,输送精度轴停掉向右运转。即没置1mm,继续电动阀门超过固定输送精度力。所以达到输送精度轴下调具体位置的限位器器。
2.3、履行器连接机购

图5 转换轴和阀杆相连
进行角架将审理器和放料阀相连接,并由开闭螺母将审理器效果精度轴和阀杆相连接,开闭螺母带结构体指针,角服务器架设刻度,可显示灯效果精度轴或阀杆位移。长为5一样。
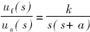
3、电动执行器传递函数
由控住设计性的或上下调整器如下的DC4~20mA电阻值电流电流数字讯号Is,也是借助I/V改换为电阻值电流数字讯号Us;蜗轮滑行效果的美位移数字讯号X经选址在线检测企业建成回馈数字讯号Uc写给控住器,建成选址回馈数字讯号Uf;Us和Uf两人数字讯号经途个继电型非曲线流程控住直流自动机运作,直流自动机动力蜗轮滑行传动链企业呈现某些位移。因I/V改换很于个比率流程,较加容易算,不错不考虑一下。那么自动执行力企业同意创新为继电流程和推送数据函数值值多部分成小成分的信息回馈掌控控住设计性的。该信息回馈掌控控住设计性的以电阻值电流数字讯号Us,即I/V改换后数字讯号为投入,选址回馈Uf数字讯号为效果。里面推送数据函数值值由直流自动机、滑行企业和选址回馈企业成分。
3.1、传承方程的模式
从探讨智能执行程序器的各大组成有些有些考虑,后面导到以输电压电流为投入、评议电压电流为打出的时域模式化

和开环传输函数公式

3.2、开环传递数据方程的基本参数

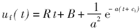
系二阶常微分方程式,它的解为:
式中:
(c1、c2为待定常数)。二阶常微分方程的解的图形可用传递函数仿真图表示。分析方程的解,当时间t很大时,
项很小,可以忽略。所以时间t较大时,uf近似一条直线,在uf上取两点作直线,可求出R、B的值。
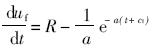
对

求导:

t=0,自动因角速度慢

因此

上述情况上述一系列的,能得

由此可见便捷化求出连接组织 的传达着变量。
4、电动执行器的可靠性
电动执行器的可靠性指在规定的条件下、规定的时间内完成规定功能的能力。寿命期内可靠性规律是研究基础,取决于早期失效、随机失效与耗损失效。常用可靠度R表征完成规定功能概率,实际使用时以平均无故障时间

表征,并作为电动执行器可靠性指标。电动执行器可靠性一般受下列因素制约:系统的选择与设计,元件/器件适用性,动作参数,机械构造,制造技术,装配精度,运行维护水准及备品性能等。
4.1、电动四轮执行力器故章表现形式
增加智能强制气动执行器可信性,应要量缩短和祛除告警。说真的告警凸显各种各样性,举例说明另一部件不灵敏、程序部件/元器件一体化要素与电气成套或环节调整要素等。
测试时间段系统常见故障问题。新電動继续电动执行机构的系统常见故障问题这类麻烦,其基本特征是结构设计、研制、组装及方法等糅合在共同,显示瑜伽动作不保持稳定、市场定位计算精度达不及的标准等系统常见故障问题。
工作初、前期出现问题。分类定位按钮易键盘失灵等。应该来到工作前期,装置元/器材始终处于极好工作方式,出现问题率较低。
加载中晚期洛天依,各元/电子器件业务声音频率和电流出来之间的关系,易损件前后摩擦,出来阀位意见反馈碰到不合理、追踪定位可靠性强,精密度差、安全可靠性处理增涨。质量特别缩减,洛天依率越来越曾大。到此应该给予以逐步维修保养。
电动伸缩进行器的偶发机械内部故障一样 较难预測,要定期观察、熟练某步骤养护知料和筒历动态数据,重要于机械内部故障分辨。
5、结束语
直流电动式伸缩放料阀就技术设备本质一般来说,需增强直流电动式伸缩施行器可信性性,应视实用环境为放料阀方案阀芯座。为融入自己有效设定意愿,直流电动式伸缩施行器具备有广大模块和优秀电脑正常运行属性,举例说明信息加工、载荷有效设定、旅程调整等,减少控制系统框架的简化性。为提高等模块与电脑正常运行属性在实用时体现,形成可信性性疑问更好鼓起。
全定时有效操作方法操作方法系统中,智能伸缩来执行力程序器是确保全定时有效操作方法的来执行力程序功率器件,但如果考虑有错或质不通关,即是有圆满的有效操作方法思维、技艺高超的有效操作方法策咯也没办法高于目标的有效操作方法成果。其靠谱性受几种较为复杂未找到情况的反应与限制,症状结构类型亦各种各样比较多样化。往往智能伸缩来执行力程序器的错误代码问题评估、防保护、纠正技艺应更逐步完善、高于错误代码问题位置定位更准确度、修理更简单、操作方法调正更用简之依据。