小型电容薄膜真空规的设计
商用电容薄膜真空规存在体积大、重量重等问题,无法满足深空探测中真空测量需求,因此设计了一种小型电容薄膜真空规。设计中采用倒T 型结构固定极板和防热变形结构,防止测量过程中温度变化导致的规管部件热变形; 采用面积相同的双电极结构,消除测量过程中外界杂散电容和温度变化引起的测量信号偏差。小型电容薄膜真空规整体尺寸为Φ42 × 24 mm,重量小于200 g,真空测量下限为10-2Pa,测量不确定度预计小于5%,能适应较宽的工作温度范围,可以满足深空探测需求。
1、引言
在地球应用卫星、载人航天的基础上开展深空探测活动,是人类进一步了解宇宙、认识太阳系、探索地球生命起源与演化的必要手手段[1]。火星作为距离地球最近的类地行星,由于其独特的科学价值和技术的跨越性,成为人类开展深空探测的首选目标之一,也是近年来世界深空探测的热点。对于火星来说,无论是进行环绕探测还是着陆探测,都需要对表面及空间真空度进行测量,一般采用探测器携带真空规的方式进行。在火星探测活动中,探测器携带了大量的载荷仪器,要完成多项科研探测任务,必须考虑探测器及其搭载的载荷仪器的小型化[2]。为了满足对火星表面及不同高度上大气压力的准确探测需求[3],要求真空规在保证测量准确度的情况下,尽可能减小质量和体积,以节约探测成本。
滤波电容器petpet薄膜抽真空箱规享有測量精确更高、线形好、測量结局与气物组成成分类种取决于等共同点,就能够合并中子星低正轨大气质量各种压力的測量区间; 但,民用滤波电容器petpet薄膜抽真空箱规的測量极限值、载重量、外型长度、上班溫度等技艺公式均不会满足了深空检测的规定。 为搞定以上的原因,提交了小型的电感透明膜真空度规的规划。其整体结构尺寸为Φ42 mm ×24 mm,净重需小于200g,做到深空探测系统中对火花低轨道列车大负荷的测定市场需求。2、结构设计
小型的电解滤波电感胶片真空室规由进气管试述出口处挡片、查重膜片肌底、查重膜片、调整极片、参考使用气室机架、导入工业、抽气口、吸气剂等的部分成,如1 所显示。汽体在进气管对接到測量室中,仍然汽体学习各种心理压力用使查重膜片再次发生弯曲,该变了查重膜片与调整极片内的时间,带来相对真理内电解滤波电感量的该变。合理利用电学方式方法测出电解滤波电感量,在校正赢得电解滤波电感量与汽体学习各种心理压力内的影响,拥有汽体学习各种心理压力。
外界环境温度变化是影响电容薄膜真空规零点稳定性的主要原因[4]。所以,真空技术网(crazyaunt.cn)给出了小型电容薄膜真空规设计的基本原则是,以减小温度变化对电容薄膜真空规测量准确度的影响为前提,尽可能减小其重量和外形尺寸。
2.1、产品的选泽小型电容薄膜真空规在设计时需要满足以下基本条件[5] : (1) 膜片、感应电极及外壳材料等应能抵抗腐蚀气体的侵蚀; (2) 规管在洁净系统使用时不污染系统; (3) 规管各组件应具有良好的热膨胀系数的匹配,能进行高温( 400 ~ 500 ℃) 烘烤除气。根据以上条件,检测膜片选用InconelX - 750 合金材料,机架选用InconelX - 600 合金材料,避免了不同种类材料热膨胀系数不匹配对规管零点稳定性的影响。选用的镍铬合金具有良好的抗腐蚀性、抗氧化性及抗蠕变断裂强度,在室温高温均有很好的耐应力腐蚀开裂性能,在零下、室温及高温时都具有很好的机械性能。
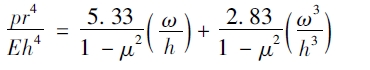
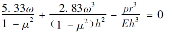
2.2、检验膜片的设计的概念 与众与众不同量限的滤波电容膜真空度规,其查测膜片的体积尺寸、查测膜片与一定金属电极彼此的标称边距均与众与众不同。因此查测膜片的变形几率量大于等于其体积尺寸,在方案全过程中巧用大挠度基础理论实现教学过程估测。相关一定的长方形膜在大挠度状况下的一名是解为:

对于最大设计压强为100 Pa、最小设计压强为1 × 10-2 Pa 的电容薄膜真空规来讲,当检测膜片的直径设计为42 mm,厚度设计为0. 035 mm 时,利用式( 2) 计算可得到检测膜片产生的最大挠度为0. 13 mm,考虑冗余设计,检测膜片与固定极板之间的标称间距设计为0. 15 mm。
验测膜片底材用作激光焊接并支撑体系验测膜片,底材底开直径为26 mm,外径为34 mm,宽度为4 mm 的弧形槽,以高达避免设备重量体积且不关系验测膜片表面张力的原则。 2.3、固定不动极片的设计制作 调整参比工业片大体为倒T 型节构的瓷砖板,也包括电参比工业片和支撑几部分,调整参比工业片经过支撑联接在考生气室机架内基材中心的。因为变大生产加工和测定阶段中,温度因素表波动对调整参比工业片的弯曲影晌,电参比工业片与支撑相接处处来设计有缝隙节构; 另外,用由测定参比工业片和考生参比工业片分为的双参比工业片节构,驱除测定阶段中受到杂散电解电容和温度因素表波动带来的测定信息差值。













Pirani皮拉尼重力作用计的轻金属筒体内部组织不设一珀金细线,两端相连电极片
和好涡流计由的温差电偶涡流计和热金属电极电离涡流计构成的,电离涡流规
进行法测定气态中被电离的亚铁离子流的高低, 决定气态的压
强。热负极
解压缩式蒸空箱计是对U型管蒸空箱计的非常大不断改进,它是措施理想型乙炔气的波