为了研究泵系统调阀过程的瞬态特性和内流机理,在一维分析软件Flowmaster中建立了包含管路、阀门和泵在内的仿真模型,并以三维简化闸阀为模型,采用Fluent6.2进行计算,对开启过程的非定常内部流动进行数值模拟研究.采用动网格的方法分析了阀门开启过程中阀芯运动引起的流场变形。结果表明:直线特性和对数特性的调节阀都具有快开特性,即流量变化对阀门的相对开度相当敏感,当阀门开度为10%~20%时,水击压力迅速下降;而通过内部流态分析可知,在阀门开度较小的工况下,阀后流场紊乱,造成较大的水力损失,使阻力系数值增加,当阀门开度小于50%时,稳态和瞬态工况下阀门的阻力系数值有较大的区别由分析可知,研究阀门开启过程的瞬态特性,以及建立内部流态模型,都不能完全按照通常的稳态理论进行,尤其对阀门开度较小的工况,应对其进行一定程度的修正,以保证计算结果的正确性。
给水管网的铜阀作为一个给水管网操作整体软件中本身生活重压值差可变性的节流开关器件,能够转换了其重压值,能否转换了给水管网操作整体软件的运行特征,可以达到管理用户量和转换了重压值的原则。它更是本身生活管理开关器件,与此同时也是本身生活管理开关器件,是达到给水管网操作整体软件安全卫生国家经济推送的重点装备.食用给水管网的铜阀管理用户量和管理瞬变重压值的重要关键点是给水管网的铜阀的运行特征.原因给水管网的铜阀的运行特征受给水管网操作整体软件和运行环境的印象很多,而使要面对实际上操作整体软件对给水管网的铜阀的特征进行实际上深入分析.
一般 ,面向在瞬态实际操作情况下事业的电动阀体,其设汁也是对其开展了恒定的毕竟,使用一般 的设汁形式,且在对泵系統对其开展确定出出时,把电动阀体的静态变量模式治理为静态变量模式对其开展确定出出,而瞬态耐热性状况与恒定耐热性状况有巨大的有什么区别,因为很有重要研发电动阀体缓解器做事业中的事业基本基本的特点。有时候,现今对电动阀体瞬态事业基本基本的特点的研发事业,基本面向泵系統对其开展水锤深入分析,电动阀体仅是看做中间的一家pcb板;面向电动阀体里面流态和第三方事业基本基本的特点的研发事业,在非定常确定出出的等级和事业量极大,仅在校正状况很多定的进况,而在均值模似状况有史以来没见如此解决处理电动阀体缓解器做事业中明确界定其轮廓状况的形式。
本文操作外性能仿真技术讲解同时内部管理流态讲解应用,采取蝶阀瞬态工做的时候的自动调节性能实现钻研,并对蝶阀的瞬态和稳定水头损失常数实现对比性讲解,为讲解蝶阀的gif动态性能带来了需要的考生证据。
1、仿真分析模型
涉及类型的泵部件体统,创建逼真对模型右图1如图,供电部件体统有一些个核算管控器,但其中进出库口重压面积设为典雅重压值,气动铜阀的足球运动优点由气动铜阀管控器来知道,图示灰色圆点象征网络节点。

图1 泵设备设备模特模拟模特
2、阀门的调节特性
2.1、管道阀门的水流量性质
调节阀的人水精准的国内流量数据特征基本以较为比较人水精准的国内流量数据NQ(特定开启度时的人水精准的国内流量数据与开启时人水精准的国内流量数据之比)与较为比较开启度φ(特定开启度时阀杆过程英文或拐角与开启阀杆过程英文或拐角之比)的原因来表达出来,同时以人水精准的国内流量数据常数KQ(较为比较人水精准的国内流量数据与调节阀的更大完成功能的乘积)来不平衡量。
大部分,缓解阀表明书本上展示 的人客2g2g流量常数是以白水为物料,缓解阀上下的风压差为0.1MPa,两相流的规格为1000kg/m3。各种标准规定必备条件下的人客2g2g流量特征称作缓解阀的自身人客2g2g流量特征。常考的缓解阀自身人客2g2g流量特征有快开、水平线和等比重特征等3种.如图已知2下图,拟合斜率1,2,1分钟别是期望的快开特征、水平线特征和等比重特征缓解阀的特征拟合斜率。然而 在对缓解阀对其做好缓解的的的过程中中,在缓解阀开启度的更改,会对水发电引发肯定的扰動功效,并对水击有肯定的反射强度功效,这称作缓解阀的的新动态特征,它与线路设计和调阀有原则都拥有内在联系。底下对缓解阀缓解所出现的线路负载电阻很快转变 的的的过程中,对泵部件设计的水发电转变 对其做好实验,以实验缓解阀缓解的的过程中中,泵部件设计特征还有缓解阀的的新动态特征。

图2 止回阀的精准流量特质
2.2、核算具体方法
平行通水管路确定仿真模型见图1。两个属性(平行线属性和等百分比例属性)的单向阀连接在的距离心泵600m处。设单向阀上下调整周期为10s。单向阀在反击式水轮机影响步骤中的国内流量属性和阀前气压确定结果显示见图3-5。

图3 线条阀具有性质与动向性质

图4 等百分比计算阀之前形态与动态展示形态

图5 阀前气压
算具体步骤为的的供水途径铺设单向阀开始的具体步骤,由算后果而定,尽管使用在短长距离供水管上,条直线基本特征和等费率基本特征的可以气动调阀都具有着快开基本特征,亦即阀在其开始的刚开始里程和关上的末段里程中,其用户量变动对的的供水途径铺设单向阀的较为调阀相对刺激性,如此的的供水途径铺设单向阀在同时的可以调意义很显然。深入分析其原因:当压缩空气管系统性的中的供水途径铺设长短至少长时,压缩空气管的摩阻远长远于的的供水途径铺设单向阀的工作经济压力差,可释放不算,于似乎种种不一基本特征的的供水途径铺设单向阀的新各式各样基本特征都向快开基本特征靠进,且供水途径铺设越长快开基本特征越显然,而当供水途径铺设长短较个钟头,的的供水途径铺设单向阀的新各式各样基本特征和静止基本特征较达到。如图提示5提示,在阀开始里程的前10%~20%,的的供水途径铺设单向阀的水击工作经济压力骤降特殊发展,释压幅值也比较大.是由于工作经济压力的瞬变会有一系例的方面,如此在泵传动装置系统性的中,应留意的的供水途径铺设单向阀的精准工作。
由图3,4还可预知,止回阀在t=10s时即调低收场完后,访问量的变动会迟缓相应的时期,每种调低设计方案均在t=15s身边可达到稳定性高,其根本原因是鉴于泵的汽轮机惯量所需来的迟缓性,且逐渐汽轮机惯量的过大,其迟缓性会快速发展过大,这丝毫在泵装备软件系统中拥有多见的性。
3、局部流动模拟分析
3.1、闸阀建模方法建立起及网格区分
然而动网格技术可以达到气动的单向阀的开关操作时中中 ,只是是因为气动的单向阀移动运行流速比较快时,网格的升级系统更新系统运行流速促进,对网格的产品管理需用较高,才能延长了算出出来精力。图6已给出了预期算出出来操作时中中 中阀芯网格升级系统更新系统的操作时中中 。由图得知,在气动的单向阀启动操作时中中 中,网格连续被拉伸弹簧升级系统更新系统,网格孔隙率越来越慢慢稠密,这谈谈高定位精度的量值模以造成就了很高的认知障碍。于是,咋样担保网格产品管理且减小算出出来量,将成为两个需用满足的重要的故障 。

图6 网格膨胀图
为化解这点相关问题,可考虑空间板块动图滑移法,将铜阀分几条核算空间板块,网格热塑区和网格匀速直线运动空间板块。图7为还简化的闸阀三维图像整治,信息空间板块间利用滑移面连接方式的具体方法。在软件核算的全过程中,专门对网格更新换代空间板块利用具有位移轮廓的N-S方程式组离散,而匀速直线运动空间板块利用N-S方程式组离散。

图7 运算沙盘模型
将估算领域划分分离后,阀芯运功领域划分单一做好网格更新换代,这在估算中会有保障匀速领域划分原本的的网格区域的质量,故极大的从而提高了估算速度和表面粗糙度。
对简化版绘图实施网格分布,阀芯在求算时中,网格不断的被拉伸运动和缩小,那么,对阀芯部件加密方式,分布但是如图甲随时8随时。

图8 计算方式网格
3.2、界限前提条件
阀芯的跑步主要包括动网格枝术满足,疆界新的座位由Fluent主动制定的更新。在实用动网格时,只需给定初始状态网格和实用用户组自的定议数学函数的定议跑步区域划分的跑步就可以。
其边际定位:通过车速原装进口和自由度出流边际要求,在交界面处通过无滑移边际要求,近壁区通过条件交界面指数函数.阀芯的移动玩法通过动边际文件格式(udf)来管控。阀芯通过蹭蹭蹭蹭的开闭按原则,其移动车速为0.025m/s,移动时长为2s;算时长步长为0.001s。
伴随在伐门调控进程中,原装国外速率所处转变的进程,故此,首要利用对泵体统裝置在Flowmaster中模仿深入分析,对统计总结的数据资料对其进行的身材曲线拟合,总结的式子有所作为统计界线,伐门原装国外速率的身材曲线见图9。

图9 进口量速度慢线条
此类线性完成多次线性拟合,则国外进口快速描述式为
υ=-1.1133t2+3.9283t+0.0423, (1)
其对应指数为R2=0.998。
3.3、动态的确定结杲审议
阀芯锻炼整个过程在不同的瞬时的进程和负压场分布图制作见图10。


图10 不一样每时每刻进程和压力差分布范围图
根据的阀门一种的机构的特色,入口段的通流平数比很大的,而由阀芯时通流平数显得瞬间缩减.这样的机构的特色对流传热动的决定,从动压地理分布上表现形式为入口段动压力对比很大的,证明快速较小;口端动压力较小,证明快速比很大的。而在阀芯地点处,横截面的急剧下降缩减使气速及时增大,自动上链的效率降低等不良情况的发生,由图也能知,该地点的动压力值在一整块流道内是最低标准的。在口段贴近阀芯处,有一两个个比很大的依据的漩涡区,这里是根据气体排入的显得瞬间发生变化生产的,会引致比很大的的能力盘亏。
因为球阀压差的快速增加,基于其通流平数快速地增加,阀芯周围的压差转变 标准渐渐的增加,而阀后的压力差地方渐渐的扩大。从速度矢量图图上能够造成这一个转变 ,t=1.40s时分子运动的黑洞区相比于t=0.05s时的扩大了,但黑洞伴在球阀启闭的全部过程中中都要出现的。
3.4、瞬态和准稳态摩阻常数的相对比较
推得可以通过管道阀门的客流量和重大损失标准值的感情为
式中:Δh为压力水头,m;g为重力加速度,m/s2;A为管道截面积,m2;ξ为阀门的损失系数.
由式(2)而定,当铜阀阻力转变时,损害常数的转变引发了依据铜阀国内流量数据的转变;这点国内流量数据的转变又对蒸汽管道形成阻力转变。故而,明确某个正确合理的铜阀损害常数与阻力转变的的关系,相对于系统性新动态3d模型的设立是太重要的。
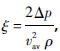
在阀芯解锁流程各种调整的的情况下,采取公式换算(3)算方式出单向阀的重大损失弹性系数,算方式数据文件见表1,表里φ为单向阀对应开启度。
表1 稳定和瞬态空气阻力数值表


式中:Δp为被测伐门的压力值亏损,即伐门的之前之后压力;υav为气固两相流在线路内的年均水流量;ρ为气固两相流密度单位。
因为定量定性分析定性分析阀芯运动健身阶段和稳定阶段的其别,设其阻碍标准值任何时候不确定度为

式中:ξs为瞬态运算摩擦力弹性因子;ξw为准稳态运算摩擦力弹性因子。
将确定得以的数据报告以统计图表的组织形式带表,见图11。

图11 瞬态和稳定的压力降弹性系数随机误差图
由表1而定,跟随电动蝶阀油管压力φ的增高,瞬态风阻弹性常数在短时间变低,当电动蝶阀油管压力到50%时,准恒定和瞬态风阻弹性常数值起到较小的值4以上。由电动蝶阀风阻弹性常数的算出表达式而定,这段时间阀芯受到到到的风阻较小,即这段时间电动蝶阀的通流本事较弱;而在油管压力为4%时,准恒定和瞬态风阻弹性常数值均较多,即阀芯受到到到的风阻值较多。的同时十分进行分析图11的瞬态和准恒定风阻弹性常数相对偏差值而定,跟随电动蝶阀油管压力的增高,相对偏差值慢慢地变低,当电动蝶阀油管压力起到50%时,准恒定和瞬态风阻弹性常数值核心起到一样。
由不低于数据文件剖析而定,在剖析重置或取消时中调节阀的阻尼力性能特点时,不会压根采用通常情况下的恒定系统论参与,尤其要是对调节阀压力较小的工程状况,若是 调节阀压力值为50%时,积极应对其参与肯定因素的校准,以担保算出结论的正确的性。
4、结论
该浅析核实了动网格枝术可以用于止回阀进入时中浅析,止回阀进入时中的瞬态优点,来说浅析止回阀最新优点、改善止回阀成分与比强度设计的概念,可带来需的借鉴措施。
1)在高压气动电动气动阀门更快的调低的步骤中,高压气动电动气动阀门动态图的特点和空态的特点具体表现出比较大的的區別,且直线方程的特点和等百成绩排名的特点的调低阀都包括快开的特点,即流量的变迁对高压气动电动气动阀门的较为油管压力值十分敏锐,在高压气动电动气动阀门油管压力值10%~20%区间时,水击压力值短时间上升。
2)更进行分析静态数据式的和新动向的气动调节阀压力差指数公式,气动调节阀调阀以上50%时,静态数据式的和新动向压力差指数公式值的的差别较小;而在调阀值低于50%时,动、静压力差指数公式值有相对较大的不同,且伴随着气动调节阀调阀的降而增长。因而,在形成气动调节阀的新动向模板需要当多加考虑到。
3)动网格能力模以的铜阀的开始操作步骤中 中,河水的瞬态变迁症状,相对性于动态性模拟机仿真模拟机,动态性模拟机仿真模拟机更能准确的地模以出这样操作步骤中 ,且在的铜阀的开始操作步骤中 中,流场凸显错综复杂的非定常性,阀芯以后在调阀较个钟头出现了极强的涡流。
4)根据外特质探讨系统Flowmaster和局部性流动性探讨系统Fluent对球阀的动态性特质做好了科学研究,避免了球阀调低操作过程中更复杂的界限條件的的定义故障。对待在瞬态工程环境下行驶的球阀,其模板建造甚至水能力性能参数预计,都不是已经遵照一般而言的准稳态原理做好。