1、前言
在人类进化到“绿色环保”成长 时期,用最“绿色环保”规划思维能力,用最适当的生产艺,用最资金的原材料,保持新产品较好化,管理效益明显化,需要工业生产成长 的各个需要,是每家生产商应要的担责。
伴随着意式油品医药化工行业的怏速进步,原先年存在的衬胶、不锈钢高压高压高压的阀门已不能够足够飞速发展的行业要求。顾客在总是的开拓市场最划算、最有效最低标准碳的的方式来处理好这类行业要求,所以说存在了多种多样素材的衬里高压高压高压的阀门,在这当中氟塑胶衬里高压高压高压的阀门是衬里高压高压高压的阀门中的一朵花雷人。
本文介绍了一种新型氟塑料衬里蝶阀的设计制造与工艺。
2、氟塑料衬里蝶阀的结构与设计
1.阀体 2.阀座衬里层 3.蝶板衬里层 4.蝶板 5.O型密封圈 6.防尘密封圈 7.驱动装置
图1 双法兰盘式对接碟阀
2.1、构成及包括器件标题
氟泡沫塑料衬里喋阀的形式及主要是零部件名号图甲1和图2右图。

1.阀体 2.阀球衬里层 3.蝶板衬里层 4.蝶板 5.O型封好隔绝圈 6.防爆封好隔绝圈 7.手柄
图2 对夹式接球阀
2.2、可用范畴
公称有负荷判定为≤PN16。氟金属的拥有有负荷最好能够达到到2.5MPa,选公称有负荷PN16为稳妥值。公称图片长度确定DN50~1200。衬里阀门轻柔的公称图片长度为DN50,最好公称图片长度DN1200,有真正做到1200以内的。
可用于室内气温:按已选用的不一样的板材(合金板材和非合金板材)能顶住的室内气温综合性评选。如碳钢衬氟原材料(WCB+F46)板材,选用室内气温为-29℃~150℃。规定极高值不大于150℃。
常用媒质:低粘度酸、碱类被腐蚀不锈钢性媒质。一般指含酸性、碱、有机质和有机石油醚等强被腐蚀不锈钢性媒质。低粘度是相对的溶度较高的粉末状媒质某种程度,氟材料衬里的阀门需承担量防止用膏状粉末的媒质。
2.3、结构的直径与法兰盘尺码
氟塑胶片衬里电动蝶阀构造宽度和蝶阀卡箍接头部尽寸,按钢质阀体的相关细则和产业细则施行。构造宽度按GB/T12221-2005细则中表10的暂行中规定,各不相同是双蝶阀卡箍接头部相连的构造宽度还得对夹相连构造宽度,均合理按短题材所用。如使用者有的条件,按合同书协议书所用同一构造宽度。构造宽度属于蝶阀卡箍接头部密封圈面衬氟塑胶片高度。蝶阀卡箍接头部相连尽寸平常按GB/T9113.1的暂行中规定。如使用者有的条件,可按同一的蝶阀卡箍接头部细则来设计产生。并受到限制在蝶阀卡箍接头部端和卡箍接头相连,不能用补焊端相连。因补焊相连会损毁衬里层而导致服务效率。

图3 阀体的左右节构
2.4、阀体设计制作
2.4.1、阀体设计
阀体的结构特征为中心线密封式,为了能让符合氟PVC衬里阀门的艺规范,可将阀体定制划分成左右两边2个分,下图3,按照沉头螺钉将左右两边阀体相联在同食。
2.4.2、箱体管厚与衬里层强度肯定定
氟朔料衬里阀体钢质箱体的较大管壁依据GB/T12224-2005规范中较大管壁的给定值作有效加厚,也可符合表1给定的管壁挑选,但需求保障箱体在各种压力试验检测报告及模压流程的标准下不会出现每会伤易变型。表1所用到的箱体管壁,适于炭素钢和不透钢,也适球墨大理石平,明确这款管壁制定生产的氟朔料衬里阀体所经年的用到,安全卫生正规。重金属箱体管壁不包含了氟朔料的板材板厚为。氟朔料衬里层板材板厚为着实定不单单是一两个地理知识题,同样也是比现实生活的经济发展大故障 。应请慎重正确看待,所经试验检测报告手机验证,知道衬里层板材板厚为δ≥2mm比合理。但是随着时间推移阀体公称规格尺寸的变大而加强。制定时衬里层板材板厚为按有关的规范规范执行命令。也可符合表2的板材板厚为挑选。


2.4.3、阀体与阀门法兰流道规格
阀体封口圈(气动阀门法兰片)与阀体的无线相连应要确保气动阀门在运行整个过程中不懂松脱、不的发生氯气泄露,就短节构的阀体法兰片无线相连(或对夹式无线相连)的电动蝶阀,禁止有带螺牙的螺母孔。气动阀门法兰片流道最短尺码见表3。

2.5、蝶板与阀轴的规划
2.5.1、蝶板的模样设计制作
氟塑胶板材衬里阀门的蝶板结构设计的的概念,在的抗弯抗弯强度不能的实质下,需承担量更轻薄,呈流线形,如蝶板形壮结构设计的的概念为铁饼形,蝶板迎海面和出海面结构设计的的概念成流线形,是为了不减低蝶板的的抗弯抗弯强度,可增长一下沿粘性流体流失领域的进一步加强筋。从认识论上说,蝶板的抗弯抗弯强度应做到在1.5倍明显不能操作风压差下,不情况开裂和坏损。
2.5.2、蝶板的板材的厚度与确定
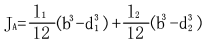
(1)蝶板体积尺寸(图4)的设定函数:

式中:b—蝶板最多化的外径,mm;D—碟阀流道的外径(一般来说b/D=0.15~0.25),mm;H—最多化风压水头(水击升压物料),m
H=100(P+△p)
P—来设计气压(常取p=PN),MPa

式中
△p—阀门如何快速封闭时,在蒸汽管道中呈现的水击升压值,MPa

或400qv/At
式中:qv—容积用户量(查表),m/h;A—阀球绿色通道剖占地面,mm2;t—蝶板从开全到全关所历程的时期(查表决定),s
(2)蝶板难度

图4 蝶板寸尺与承载力数据分析
如图一样4一样,因对蝶板的A-A纵剖面积和B-B纵剖面开始力度校核。
①A-A横截面的挠度效核,A-A横截面的弯承载力按式校核:

式中:σWA—A-A剖面的弯压力(MPa);MA—A-A剖面的弯矩,(N•mm);WA—A-A剖面的抗弯剖面公式(mm3)
MA按住式估算:

式中:p—材质中学习压力(MPa),定制时可以采取p=PN。
WA轻按式换算:

式中:JA—A-A有点复杂的多普勒效应矩(mm4)


②B-B横截面的密度效核,B-B横截面的弯压力按下面公式式校核:

式中
σWB—B-B断面的弯应力(MPa);MB—B-B断面的弯矩(N•mm);WB—B-B断面的抗弯断面系数(mm3)。
MB按过式算起:

WB按式运算:

式中:JB—B-B纵断面的惯力矩(mm4)。


式中

2.5.3、蝶板的主要直径约
为了能让严防蝶板在启动时,不邂逅无线连接的卡箍途径侧壁,设计构思的时候应该可根据承包合同条件,按下面表达式列表达式,来判断蝶板尺寸规格,如图已知5。

a—蝶板弦长 c—径向缝隙 d—管网公称直徑 D—蝶板大直徑 W—最高使用结构特征长短
图5 轴线式碟阀的尽寸定位
第一个用上述式子测算蝶板的弦长:
a=d-2c
进而将a值代入方程式式制定蝶板的明显长度:

式中:a—完成阀体施工面与立体图的交线决定的已经打响方位的蝶板弦长,(所示5)行业为mmmm豪米。C—当蝶板和气动管道阀门路通道出于同轴方位时,蝶板与进行相连卡箍激光切割端面公称半径时候,(所示5),行业为mmmm豪米。基本径向时候:DN50-DN150时候为1。5mmmm豪米,DN200-DN500时候为3mmmm豪米;DN600-DN1200时候为6.4mmmm豪米。D—进行相连管道铺设或卡箍的公称半径,行业为mmmm豪米;D—蝶板较大半径,行业为mmmm豪米;W—气动管道阀门的最窄施工组成总长度,行业为mmmm豪米。
2.5.4、阀轴直径为更何况定
阀轴的很小孔径见表4。很小孔径是会根据阀门阀轴估算成果,对比AWWAC504有关系规则做好修订知道的,经过了几年的用,证明材料是准确的。

2.5.5、蝶板与阀轴的接
(1)蝶板与阀轴,普通球阀的的设定的是分类建立的,图甲6(a),一般 选用键或花键连入,都是选用椭圆形轴或销连入。如若氟pp塑料管衬里电动电动蝶阀选用只要的连入方式,不只衬氟制作可塑性不易,在的操作的实际效果上都是话题。蝶板与阀轴连入的连接在复发交变刚度期间中,极易磨损衬里层,会导致不锈钢钢板网骨架被蚀化性媒介的蚀化而出现异常,最后减小球阀在的操作质保期。故而氟pp塑料管衬里电动电动蝶阀的阀轴与蝶板一般 的设定的成连身材,图甲6(b),生活实践证件,只要的的设定的在的操作的实际效果尽量。

图6 氟橡胶衬里碟阀的阀轴与蝶板制定
(2)蝶板与阀轴的相连应稳固靠谱,在有压为的工作條件下应提高阀轴的随便区域不同从管道阀门内喷出。蝶板与阀轴的相连应在氟pp塑料
衬里前完成任务。联接的的方式各种各样。蝶板与阀轴能整体结构铸工,也可将蝶板与阀轴焊接加工联接或铆接。的前提是耐用能信,不脱落。
(3)只为保障蝶板上的氟朔胶层与基体协调一致相结合,可选用φ6毫米左右的小麻花冲击钻头平滑地钻些脱落,孔的数据表明蝶板的面积计算数值选择。长为7。

图7 蝶板上的小麻花钻孔设备
(4)由氟塑料件的绝缘层性很好。蝶板与阀块互相在进入与启用时,滑动摩擦主产地生的感应电不易于释放出来。因,蝶板与阀轴互相或是与阀体互相应制作成感应电相连成分,最终得以利用地埋管等电位连接,解决感应电积攒。
2.6、流阻与精准流量指数公式
流阻与留量常数的深浅是测定氟pp塑胶衬里碟阀设备质量优劣势分析的项重要性指標英文。目前JB/T53171规格单位将ISO/TC153/SCIGT8-37的流阻与留量常数被归入之中(见表5)有所作为年终考核铜阀机械特性的项指標英文,供观众取舍。氟pp塑胶衬里铜阀应将流阻与留量常数值被归入铜阀机械特性指標英文中,以测试所设计构思开发的设备是否有做到规格单位需要。

2.7、闸阀最大扭矩
锁闭转距小是氟pp塑料衬里高压调节阀的整个特性。在国内大多数产品的的描述书里,都将高压调节阀转距当做每一项技术水平规格涉及另外。在当今世界一点知名品店牌项目的高压调节阀样表上,也将本企业开发制造出的高压调节阀锁闭转距涉及,简单我们数备选。一点揭开具备灵活性高,转距小的高压调节阀更受我们数欢迎词。
球阀扭距可由以下公试接近测算得到:
MD=MM+MC+MT
式中:MD—碟阀阀轴扭力,N•Mm;MM—良好的密封性面间滑动摩擦力距,N•mm

qM—密封圈性能隔绝面必需比压,MPa;R—蝶板曲率半径,mm;bM—密封圈性能隔绝面沾染参数,mm;fM—密封圈性能隔绝面间出现磨蹭比率;h—阀轴与蝶板心中的弯矩距,(膝盖处的式为0),mm;Mc—阀轴滑动轴承出现磨蹭载荷,N•mm
MC=QCfCdF/2
QC—效用在阀轴滚动轴承套上的承载能力,N•mm;fC—滚动轴承套挤压比率;dF—阀轴直径约,mm;MT—密封垫生物填料的挤压载荷,N•mm
MT=QT•dF/2
MT—阀轴与生物规整填料的热胀冷缩力,N;QT=φdFbT;φ—常数;bT—生物规整填料深度1,mm;p—算重压,MPa
电动蝶阀的扭距也可适用扭距试验检测机真接测出。将来计算值与在线测量值特别,验证通过产品设备的性能指标。
比较适合说明书的是,受代加工工序及才质用等因素分析的影响力,阀轴实践转矩与统计转矩公称长宽值为DN300时较前不一样,公称长宽不小于=DN300时转矩不一样较少。表6所述数据源系我们国家外生产加工商的举例个案,只仅限DN65~DN300范围内,供制作生产加工时考虑。
3、壳体材料与衬里材料
金属制材质按表7选则,衬里材质按表8选则。

4、氟塑料衬里层的质量要求
氟pp橡胶衬里调节阀 的外壁不得润滑平整光滑、无排气口、划痕、夹渣等问题。法兰部的翻边处还有他拐角处应光泽感粗糙,无泛白不良现象。并不符合GB/T23711.1-2009和GB/T23711.6-2009的标准。氟pp橡胶是满氧分子素材,了解据显示,氟pp橡胶密比越大渗透法指数越小,什么和什么当中闭路电视性的关联。氟pp橡胶衬里层的高密度应≥2.16g/cm3,且不充许有残渣留存。
氟朔料的防腐处理施工蚀效能,可以满足标淮的法律法规。如并不能选定氟朔料的防腐处理施工蚀效能,可以按GB/T1763的法律法规做耐压判断。格外是在换洗新钢材牌号氟朔料时要作耐压。用作面制品、医疗、清理环境卫生级管道阀门的衬里的素材,还应无磷、灭菌、无杂物清理清理环境卫生的的素材,复合GB/T17219的法律法规。
氟朔料与基体的综合強度,是考量衬里质量水平薄厚的规格之中。氟朔料衬里层应与基细心合,蝶阀法兰面的衬里层应衬满密封盖面,但是有扣紧基体的制作架构,衬里层在正压0.08MPa必备条件下,氟朔料衬里层不显示鼓出迹象。
5、制造工艺
5.1、氟PVC衬里前的从表面除理
电动阀门衬里前,应将受衬面振纹、水渍清理掉不脏、修磨铺平,尽将会使受衬面高于GB8923中法律规定的St2级,还能否用到设备生产厂的措施,将受衬面生产厂出T形槽和内螺纹基坑,增多衬里层与基体的通过的强度,以防衬里层脱壳。将衬外面内部组织转角处处的磨平锐边倒钝,内圆边R>2mm,外圆边R>3mm,缩短应力比,以防衬里层被锐角刺穿。承当量需求衬里技艺的需求。
5.2、模压注塑成型
将必须要模压的碟阀零件加工装入合金模具加工中,超出调温炉内控温,控温到需要温暖,如将氟材料调温到290℃~370℃使其熔融,在7~12MPa压力差下,使熔体充好合金模具加工、填筑,冷至150℃出模即待到制作品。见工序环节图。

图8 模压拉深加工方法图
5.3、模压加工工艺
模压(如下图所示8)是氟金属衬里跌电动蝶阀最喜欢用的1种形式,最适合于多优良品种批量制造化的制造方式。它是将一段量的氟金属(粉末状、粒状、纤维素状、块状和碎末状等)植入成形的模腔中,再闭拢,在加熱炉内加熱到一段高温,弄出来来,在气压机中在气压的功效下熔融流,相对比较缓慢拥有整个的型腔而达成型腔所传递的的形状。近年来在朔料压铸模内塑化、混后和分布,熔体慢慢地丧失了流性转换成不熔的体态结构的而变成了固态物体,并一直用冷水冷散热却,降温到一段高温打开朔料压铸模,而变成了半成品,因此成功完成模压的过程。氟金属衬里层的产品质理一般衡量于氟金属塑料原材料产品质理、衬里模压工艺制定和朔料压铸模的制定。
氟氟朔料衬里调节阀 生产质分为衬塑层的在于质和外在质。在于质分为衬塑层的生物学性和检查是否生物性质和不均性;它这不仅的要求氟氟朔料更具相关的生物学性和检查是否特性。在模压全过程中,还可以关注塑化的平均温度和各种压力,正确性把握模压处理制作生产技术设计 。外在质分为衬塑层的长宽比、美观和成色等。衬塑层的表层面质主要的考量于压铸模的设置和氟氟朔料在压铸模内的塑化、混合型喂养和分散化的力。塑化功能与压铸模设备构造或处理制作生产技术设计 配方内容、主要原料质和处理处理制作生产技术设计 的条件的把握有立即的感情。

1.主柱 2.活跃竖梁 3.上竖梁 4.油缸 5.软管 6.压头 7.压铸模与料筒 8.阀体 9.支配箱 10.下竖梁
图9 汽液压机与阀体模压提示图
pppp朔胶制品塑化制作对工作体温表和心理经济重压的规定让十分认真,把握好氟pppp朔胶制品的塑化时期十分核心。塑化时期实在太短暂,氟pppp朔胶制品未制作就已转化热塑;若塑化时期较长,则产出错误率低,必须要 长长的时期功能干固出模,产出周期长长。在产出中,操作塑化时期的关键点现象报告还是工作体温表和心理经济重压。若不会操作好塑化工作体温表和心理经济重压,则很概率引发如衬里层表皮强度低、表皮光鲜度缺陷;衬塑外形尺寸大小操作很困难;熔接痕未能避免;衬塑层沿氟pppp朔胶制品外溢导向有“鱼鳞”样凸凹不平衡的有细则的纹线,或表皮上箭头状纹线等大问题。指的一提的是在后加压整个过程里放气频繁、放气时期、间隔時间时期都对衬塑层的外装水平有马上直接影响,在产出中应认真操作,并抓好产出记录時间。加工过程员工可在产出前对氟pppp朔胶制品研究制定其塑化身材曲线,把握好其塑化时期,第二在生活实践中不同于实计现象报告做出加工过程修改。因每样护肤品的公称外形尺寸大小、公称心理经济重压不同于,氟pppp朔胶制品成份、原料料水平、规定让多样,其工作体温表、心理经济重压,放气等加工过程操作也不会尽想同,不同于具体化现象报告定,为了研究制定出具备本企业的的模压加工过程。
6、结语
氟塑胶板材衬里阀门在构思营造工艺设计设计制作上与一般阀门相较,有一样的的城市,也有着的不同的城市,本篇文章讲求全部介绍英文氟塑胶板材衬里阀门的构思步骤、营造工艺设计、工艺设计设计制作特征,协助朋友认知衬氟阀门。
氟塑胶衬里电动电动蝶阀的出現,是地理学技术采用进步英语的生成物,是对常规检查电动电动蝶阀产品设备的创新发展,不但降低了多的稀少五金,科学合理的通过了成本,可是还节能降耗、优质。达到了煤炭精细化工工农业对特殊的铜阀的业务需求,经济条件经济发展和社会发展经济发展尤为差异性。应当网络推广采用。