利用朗缪尔双探针诊断电弧离子镀等离子体参数
弧光阴阳阳离子镀于20时代80时代起源,是( Physical Vapor Deposition,PVD) 技术性的一名决定性构成。根本方式是在重力作用具体条件下,靶源用作阴阳阳离子、外壳用作阳极,APP阴阳阳离子与阳极期间的弧光击穿减压蒸馏并电离靶材,制造等阴阳阳离子体,对仿品来火成岩状镀一层薄薄的膜。弧光阴阳阳离子镀包括火成岩状时速快、重金属离化率高、膜的粘更加注重强、可镀用料丰富的等特征,在用具钢数控刀片上带丰富的的APP。 在弧光焊接焊接阴阴阳阴阴阳阴阳离子镀高技能水平中,作用膜层效率的数据一些,如室温、靶电流大小、基片偏压等。针对于耗弧光焊接焊接阴阴阳阴阴阳阴阳离子镀制取这种建材塑料透气膜时,常常需用对这种数据主要采用有差异的值去非常多的工作,凭借渡膜数据与膜层效能相互间的相关对制取施工的加工工艺去升级网站优化。在这个方便弧光焊接焊接阴阴阳阴阴阳阴阳离子镀与某些塑料透气膜的堆积高技能水平的调查方式是一样的。以至于另一类个方便,在弧光焊接焊接阴阴阳阴阴阳阴阳离子镀调查中获取的施工的加工工艺数据与膜层效能相互间的相关少象某些塑料透气膜的堆积高技能水平,如磁控溅射等这样,在差向异构上受到表示。这随着调查员工对弧光焊接焊接阴阴阳阴阴阳阴阳离子镀微观经济步骤的表达因此停住在幻想层面应用上上,所以使施工的加工工艺数据的升级网站优化拥有某种层次的过分性。 发生种情況的是一个包括原由是到现阶段结束短缺程度仪弧光化合物镀等化合物体的可行性具体方式。程度仪等化合物体产品数据普遍的朗缪尔单探头在应用领域于弧光化合物镀等化合物体产品数据程度仪时,会随着弧光化合物镀等化合物体更加高的黏度,而使探头在相近電子饱和区时回收到很大的的功率,最后使探头红热虽然发射卫星電子而没办法正常值做工作。另一类的方面,随着弧光化合物镀等化合物体更加不平稳,使精确测量的I-V 优点弧度更加不拟合细腻,不易马上被是用来深入分析确定等化合物体产品数据。真对这一些题,大家所采用双探头方式,构建非常多采样系统月均和离散傅里叶改换拟合处里,对程度仪弧光化合物镀等化合物体采取了勇于尝试,成功率刷出了pet溥膜制得因素下的月均等化合物体黏度和電子温,最后找出了一些选用可行性的程度仪弧光化合物镀等化合物体的方式。实验室结杲能够探析弧光化合物镀等化合物体产品数据与对pet溥膜种植关系的自然规律。
1、等离子体诊断原理
1.1、双探针原理
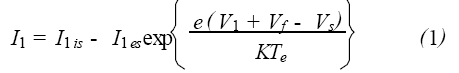
图1为双探针诊断等离子体的示意图。双探针由两个形状、尺寸、材料相同的金属电极组成, 探针电路与等离子体不共地。假设一个探针的电流为I1 ,另一个探针的电流为I2, I1 可以表示为:

其中, I1is是探针1的饱和离子电流, I 1es是探针2 的饱和电子电流。V1是探针1 相对于悬浮电位Vf 的电位, Vs 是等离子体空间电位。由悬浮电位的定义式得



I2is是探针2的饱和离子电流, V2 是探针2 相对于Vf 的电位。由于双探针电路相对于等离子体处于“悬浮”状态,流入一个探针的电流与流出另一个探针的电流相等,所以I ≡I1 = - I2 。
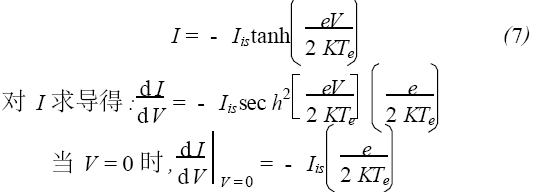
当两电极非常相当时:
I 1is = I 2 is = Iis (5)

V = V1 - V2 是两探针间的电压。解等式(6) 得:

由上式可以看出:电子温度Te可以用V=0时双探针特征曲线的斜率求出。
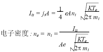
由趋于稳定正离子直流电压的基本概念式得:
其中A 是探针面积, mi 是离子质量。
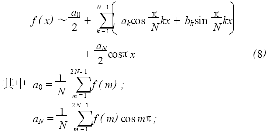
由公式换算(7)行听出,双检测器瞬时直流电压也许高于阴离子饱和瞬时直流电压,对此行规避单检测器判断中发生的因抽取瞬时直流电压过公使检测器红热恐怕放出智能而不要合适工作中的故障 。1.2、离散傅里叶变换平滑方法
这样用数学函数f(x) 表述检测的资料f(0),f(1), ⋯,f 2N-1)的变周期性,f(x)就能够展开图定型式









等铁离子体增加耐腐蚀气相色谱基性岩(PECVD)是利用微波通信或微波射频等使具有bopp薄膜
滤波电容解耦方法是由接地极的击穿室(由符合弹性系数小的装修材料如石英晶体制作成)
从ZnO聚酰亚胺膜的硫化锌组成部分、光纤激光切割机的功效、电学功效、光学性、气敏性
ECR铝离子源徽波电能可以通过徽波放入窗(由卫浴陶瓷或石英晶体弄成) 经波导或天
的反应磁控溅射技艺是积累单质塑料膜的主耍方式方法之1。积累多样化组成成分