粗铅真空蒸馏脱除铜锡的研究
选择鼓风炉融炼粗铅为原辅料,对其蒸空体减压萃取树脂吸附铜锡对其进行策略解析和科学试验科学试验,考察调研减压萃取体温、恒温性比较好期限对铜锡树脂吸附率、彩石铅直成品率及贵彩石银聚集收售并的决定。科学试验然而表述: 在系统软件有压力为5 ~ 15 Pa,减压萃取体温为1323 K,减压萃取期限为30 min 的的条件下,铜的树脂吸附率贴近100%,锡的树脂吸附率有98%,一些减压萃取铅的直成品率以上98%,粗铅中的银在稳定度物中得以聚集收售并。此工艺设备为蒸空体减压萃取分離粗铅中的铜锡出具新的措施,并使银能得以有效果聚集,对粗铅选择蒸空体减压萃取强化除铜锡有必须的指导意见目的。 常用火法冶炼实现的粗铅一般而言需历经制作除杂后才可广泛的地用于。粗铅制作的的方式有火法和钛电极设备抛光法这两种。近年社会上用于火法制作的冶炼厂较多,约占社会精铅产出量的70%,只能新西兰、秘鲁、俄罗斯和中国现代的一系炼铅厂用于钛电极设备抛光制作。粗铅制作的为的双因素是删去另外混杂的五金质硫氰酸盐,实现精铅( 纯净度≥99. 9%) ,另双因素是收废粗铅中的铜、银和铋等贵五金质。铜、锡等是熔练粗铅中常会有的硫氰酸盐五金质,粗铅全火法制作需将铜、锡浓度各自除至0. 01%、0. 005%下列;粗铅钛电极设备抛光制作,也需历经大概火法制作,将粗铅中的硫氰酸盐铜、锡除至务必层面。 粗铅除铜的做法有熔析法和加硫法,熔析法是利用率铜在铅中的消融度随温度表增涨而降低的基本原理,即当含铜高的铅液一系列冷却时,铜以固溶体浮渣模式分析出浮在铅液的外表面而被排除。途经熔析除铜后,铅液中的铜含锌量假设超过0. 06%,要加硫进几步除铜。该法是向熔析除铜后的铅液内加入硝酸钠,提取Cu2S 呈粉末状浮在铅液的外表面最终得以排除铜,可将铜含锌量来临0. 01% ~ 0. 05%。粗铅除铜创作的铜浮渣常见含Cu 10% ~ 20%,Pb 60% ~ 80%,火法收回解决铜浮渣通常有折射炉熔练法、转炉熔练法、加热炉熔练法和鼓风炉熔练法; 湿法解决技艺有酸浸法、碱浸法和氨浸法。粗铅除锡的做法有钝化浓缩法和酸性浓缩法,钝化浓缩是可根据锡对氧的人格魅力不低于铅对氧的人格魅力,用钝化铅作钝化剂,将铅液中的锡钝化提取稀渣状的钝化锡而被排除;酸性浓缩是用硝石作钝化剂将铅液中的锡钝化生成钠盐与铅分离工作。真空泵技术艺网(//crazyaunt.cn/)指出上述所说粗铅浓缩除铜锡的做法,产生的一起毛病是铅的亏损资金大,直提取率低,安全作业耗时长,劳动课条件差,液体燃料需求量高,铜浮渣、锡渣解决技艺有难度。
真空冶金已被广泛应用于合金的分离、粗锡的精炼、有色二次资源回收、矿物热解等领域。为了简化粗铅精炼的工艺流程、提高金属铅的回收率、降低能源消耗、减小环境污染,本文对粗铅真空蒸馏分离铜锡并富集回收银进行实验研究,为粗铅真空脱除铜锡提供理论依据和实验可行性数据。
1、实验部分
1.1、原料
试验材料为国家贵州某冶炼厂出现的鼓风炉炼制粗铅,其电学精分( 产品品质中考分数) 如表1 如下。仅仅残渣含锌量总计为0. 08%,本试验未做研究方案。 表1 粗铅的无机化学精分
1.2、实验方法
实践所进行的机械设备为贵阳理工学大学本科进口抽真空体矿冶部委施工实践室自主设计方案的HZSL-18 型进口抽真空体蒸溜炉,将实践主要原料放置进口抽真空体炉内坩埚中,把控好相应的变热传送速度使炉内坩埚温暖增到实践温暖1223 ~ 1473 K后进行衡温蒸溜,衡温15 ~ 75 min 后,待温暖高于高温后开炉抽样。进行燃烧的火焰氧原子吸纳光谱分析法融合催化滴定的方式 检测各营养元素的的含量。2、理论分析
本實驗用真空环境减压蒸馏的具体方法实行,先对原材粗铅具有的残渣实行分離的可能会性及分離度在学说上实行阐述,为實驗探究及实际情况生产制造能提供学说上的培训。2.1、根据纯物质饱和蒸气压判断
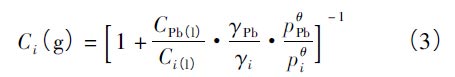
粗铅中内含的悬浮物组元在需要热度下有回收利用加固的水液体压,如何回收利用真空泵减压蒸馏法树脂吸附考量于在需要热度下各悬浮物组元的水液体差压。纯的物质的水液体压与热度的相互关系可说明为![]()

2.2、根据分离系数判断
粗五金质不锈钢中物质间共同效使力的长宽有所差异,让 粗铅中各其它杂物组元的真实液体压有所差异于式( 1)认识论算出的液体压。粗五金质不锈钢的分離使用效果还需选择熔体的成分及各组元活度等多种原因,要比较准确的地分辨粗铅中各其它杂物组元正空分離的很有风险和可能构建分離弹性系数βi。若βi > 1 或βi < 1 均可保证 粗五金质的分離,且与1 紧急制动越大越加容易分離。

2.3、根据气液相平衡图判断
原料进口真空水蒸气水蒸气分馏时,气、液两相的成分的的关联太重要,是水蒸气水蒸气分馏有必须的数据统计,可据以推测一回水蒸气水蒸气分馏的剥离作用。









AlCl3当作Al2O3的真空系统热恢复原2氯化2歧化生理反应的氯化剂,应该可以通过控