真空玻璃隔热原理分析及实验
利用辐射- 边部传导耦合模式分析真空玻璃的隔热原理,通过传热通量和传热系数的计算,建立真空玻璃的传热方程,计算出真空玻璃结构沿厚度方向的温度分布和热流通量,对计算值和实验值进行了对比分析。结果表明,真空玻璃传热系数与真空度正相关,真空度决定真空玻璃隔热性能;真空玻璃双面镀低辐射膜隔绝了较多的辐射热交换,其效果比单面镀膜好。
抽正空箱破璃比平凡破璃和空芯破璃含有更优质的恒温高温功能,对抽正空箱破璃的高温道理实施剖析研究探讨,可进一歩改造抽正空箱破璃的功能,缩短养分流失。这段话以自己制作的抽正空箱破璃土样为基础条件,对抽正空箱破璃高温道理实施剖析,并对认识论类别实施实验设计核实。1、真空平板玻璃隔热原理
高压气的玻璃板板是将四个星期焊接方法密封垫的两个的玻璃板板间的缝隙提成高压气动态来实现高温的重要性。其结构类型长为1如图。这两个的玻璃板板间的缝隙为0.1~0.3 mm。 为使玻离在真空室睡眠状态下能能承受外部时尚重压,在2块玻离之前放很多支持力柱,支持力柱用于Φ 0.5~Φ1.0 mm、高强度0.1~0.3 mm的柱体体,常见状况下没得光电技术凸异感,其反光性能易受反应。
热量通过真空玻璃的传导有几种不同的物理过程:两块玻璃板内表面的热辐射;通过支撑物的传导传热;通过相连玻璃板边部的传导传热。这传热过程是同步进行的,所以真空玻璃的传热系数K玻- 玻= K辐射+ K传导+ K对流[1] 。真空玻璃的真空度高,减少了气体的对流传热和传导传热。由于支撑物很小,支撑物同玻璃板接触面积占真空玻璃面积的比例非常小,通过支撑物传导传热也小。所以真空技术网()认为真空玻璃的传热主要取决于辐射传热和边部的传导传热。用镀有低辐射膜玻璃制造的真空玻璃又大大减少了辐射传热,所以,边部传导传热占真空玻璃传热的大部分,对真空玻璃的隔热性能影响较大。
2、真空玻璃辐射和边部传导耦合传热分析
2.1、传热系数方程式的建立联系 假定外层波璃先选成两位无限的大安卓平板当中充电吸收能力- 发送物质,但是作一下假定: ①物料为灰体,即吸取公式和穿过比率常数,与光波长关系不大,αλ =α,τλ =τ0 且物料为漫发体。 ②材质正处在整体供热学动稳定的状态,即被材质获取的卡路里将在材质中以动稳定匀称的方试快自己匀称,材质卫星发射的光谱仪没受什么入射大范围地扩散的会影响。 ③只有着与等温面铅垂中心点的一维普及热交换。④介质的所有物理参数与温度无关[2]。
据上面猜测,这些是一位一维冷却困难,现理解重力作用夹丝玻璃纸依下为重四表层各为表层1、2、3、4,由格局对应点性,讨论表层1、2只能。则表层1、2各长期保持固定的温度表T1 和T2 ,须要求厚为Z 的重力作用夹丝玻璃纸格局的冷却通量。由热均衡性感觉下的电能守固定律得:
利用辐射透过率[3~4]概念得出两端为灰表面的辐射热流量为:


其中: ρ1 =ρ2 = 0. 04,ξ1 =ξ2 = 0. 84, k = 1. 02W / (m2 ·K) 。
式中: N —定意抗扰- 放射性物质参数设置;θ—沿夹层玻璃机的薄厚方向上无因次室内水温地理分布函数公式; T—室内水温;α—代谢数值,α取临界值0.84。3、实验及结果分析
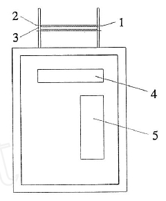
3.1、进行实验工艺 传热性性指数公式軟件综合检测仪是标准护热小米平板电脑电脑法设计基本原理设定,格局下图2图示。軟件综合检测仪尺寸规格为380 mm ×280 mm ×260 mm,主要利用双小米平板电脑电脑热护甲格局,专属于恒定气温场精确测量的方法,遮阳用聚苯丁二烯泡沫生成,箱中主要利用了优秀的电子方法电源线路设计、半导体行业冷却设计和有点气温自功自校职能的軟件,借助轻松、快捷设置的数码现示网页和控住把控面板做到医疗仪器的全自功控住、数值信息采集和净化处理、传热性性指数公式的计算出。
1.真空玻璃 2.炉热平板 3.聚苯乙烯泡沫 4.数字显示屏 5.控制面板
图2 热传导弹性系数各种测量仪提醒图 该实践在常溫状态下做,隔音用聚苯氯乙烯泡沫剂使蒸空玻璃钢演变成受外人电磁波辐射较小的经济独立的开放式平台,导电常数检验仪外接220 V学习交流电,其检测的方式为全自主调控。 3.2、可是研究分析 3.2.1、压强传热系数随着压强减小而大幅度下降。由图3可知,大气压下的内面镀膜真空玻璃传热系数为4. 52W / (m2 ·K) ,而压强为10 -3 Pa时,传热系数为1. 81 W / (m2 ·K) ,这说明真空度对玻璃绝热性能的影响很大,高真空与非真空相比其隔热性能提高近3倍。当压强小于0. 33 Pa后,玻璃夹层基本上消除了气体热传导,只剩下热辐射和由支撑柱封边料产生的热传导,这一结果提供了将材料的传导传热和辐射传热分开的手段,为进一步研究材料的辐射传热提供了方便。
由图3还可看出,传热系数的计算值[5]和实验值在低真空状态下相差较大,随着真空度的增加,误差减小,并在30 Pa左右时有一个重合点,之后误差趋于稳定。由于真空玻璃在实际应用中,真空度一般在0.1Pa以下,因此,自由状态下的误差已基本达到工程的计算要求[5]。


从实验可知,当压强进入10-3 Pa的高真空状态下时,外面镀膜真空玻璃的传热系数为1. 45W / (m2·K) ,而内面镀膜真空玻璃为1. 81W / (m2·K) ,相差20% ,即外面镀膜优于内面镀膜。当低辐射膜在外面时,低辐射膜阻挡了护热平板的辐射和由真空玻璃底面向护热平板外的热辐射。当低辐射膜镀置于内面时,只能阻挡护热平板的辐射,真空玻璃外面还能向护热平板进行辐射热, 因此低辐射膜镀置于外面比内面效果好。由图4还可以得出双面镀膜的效果优于任何单面镀膜的效果,但在高真空度条件下,双面镀膜效果与外镀膜效果几近相同,因此,从综合经济效益来看,外镀膜真空玻璃市场应用前景较大[6]。
4、结论
(1)确立了进口抽涡流磨砂波璃钢的热传导电流方程组,用扩散- 边部传导电流耦合电路基本模式来具体分析进口抽涡流磨砂波璃钢的热传导电流,收获进口抽涡流磨砂波璃钢型式沿规格导向的工作温度数据分布和热对流量。 (2)蒸空安全安全玻璃的对流传热公式与压强成正涉及,蒸空度考虑蒸空安全安全玻璃隔热性。 (3)真空体玻璃钢双层镀低福射膜隔开了福射热对换,其功能比单双面镀膜等等好。 借鉴文献资料:[1] 徐成海. 真空工程技术[M]. 北京:化学工业出版社, 2006.
[2] 张瑞宏. 真空平板玻璃传热理论分析及试验[J]. 农业机械学报, 2006, 37 (12) : 134 - 138.
[3] EdwardsD K, Tobin R D. Effect of polarization on radiant heat transfer through long passages [J]. Trans. of theASME. Journal ofHeat Transfer, 1989, 967 (2) : 132 - 138.
[4] Tien C L, YuenW W. Radiation characteristics of honeycomb solar collectors [J]. International Journal of Heat and Mass Transfer, 1975, 18(12) : 1 409 - 1 413.







