真空管道的流导,又叫做通导能力。它是管道的重要性能参数,是设计真空系统时必须考虑的因素之一。在计算粘滞流管道流导时,流导跟管道内的平均压力有关,通常的方法是近似把管道入口压力作为管道平均压力。但是当管道较长、真空泵抽速较低或管道入口压力较小时,上述近似方法的误差就变大了。本文对粘滞流下管道的平均压力的取值进行了讨论,分析了近似取管道高压端压力为平均压力时所产生的误差,并提供了粘滞流下管道的平均压力的计算方法等。
1、目前真空管道粘滞流态流导计算中的问题
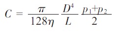
在粘滞流态下的pvc输送地埋管流导与涡流pvc输送地埋管内的均匀压差p 关于。通畅pvc输送地埋管的均匀压差取为:

式中:p1 为抽气排水管材的出口额重压,p2 为抽气排水管材的出口额重压,即蒸空泵的通道重压。在蒸空体系定制中,经常仅是直到蒸空室内设计的重压,即抽气排水管材通道处的重压,故此在测算抽气排水管材的分別重压时,一般的来说一皆是有相拟把抽气排水管材通道处的重压用于排水管材的分別重压。其理论与实践基于是,在蒸空体系抽气历程中,仅是在粗抽第一阶段都会存有粘滞流,而粗抽线路的流导C 一般的来说一都更大。基于蒸空技术应用基本上式子,在泵的抽速Sp 较低、排水管材流导C 较多的时候下,蒸空泵对蒸空室的可以有效抽速Se 有相拟乘以蒸空泵在通道重压下的抽速Sp, 即若C垌Sp时, 则Se≈Sp。则基于气休间断性式子可知:Q=p1Se=p2Se,因而p1≈p2,然后得以p=p1。只是,这仅是在选用粗抽泵的抽速相对来说一于抽气排水管材的流导来说一非常渺小时,这样子的有相拟取值最简单的方法才都会存有必然的合理的性。只是在粘滞流出排水管材的流导与分別重压成比例,跟随着蒸空泵的一直抽气,排水管材的流导慢慢减低,当泵的抽速与排水管材的流导悬殊越来越时,就要都会存有较多的偏差值。底下咱们对分別重压有相拟取值一般选择抽气排水管材通道端重压时的差值进行概念地定量分析。当排水管材为长管时,把式(1)代入流导概念式可知粘滞流圆截面积排水管材流导为

假定重力作用泵的抽速Sp 没变,则Q=P2Sp,基于热力管道流导的举例得

解得:

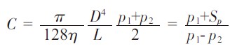
要注意,之前两式中Sp 真正上是相应泵考区有有压为p2 下的抽速,在Sp 异常之数的问题下,仅在抽速Sp 为常数的有有压为时间范围内有解。当抽速如今真空环境泵考区有有压为变动时,因Sp 是如今p2 变动的,而p2 异常之数,因此没法认定抽速Sp,为了没法算起通道的分別有有压为。
2、真空管道平均压力的误差分析与计算方法
由上归结,在正空供水管粘滞流态的流导确定表格函数中,当正空泵的抽速造成转变时,想要对正空泵的抽速曲线拟合曲线采取均值化拟合曲线,设立p2 与Sp 两者相互之间的函数值直接关系的,所以能够可根据p2 与Sp 两者相互之间的直接关系的和所诉表格函数采取联立方程式组解算出供水管出口额压差p2,可以确定表格函数出供水管的均衡压差p,所以进步骤最准确确定表格函数供水管的流导。
譬如,猜测高压气泵无线连接高压气室的排水管材D=0.04 m,L=1 m,高压气泵的抽速为8 L/s,自然空气为20℃的自然空气。若排水管材填报志愿系统处的压力,猜测高压气泵抽速S 不减,同时伴随L/D>20,排水管材为长管,则由式(2)得:

若接近把抽气pvc通道无线运营中心压接近取为pvc通道的峰值压,即p=p1=100 Pa。从以上的算出也需要懂得,在一个算例中,当装置压(pvc通道无线运营中心压)较高时,这多种pvc通道峰值压断定方案的取值偏差值值很低,相比较于不确定度度仅约为1.2%。但当pvc通道无线运营中心压较低时,俩者取值偏差值值马上会过大。这类,真空平台装置能力同前(D=0.04 m,L=1 m,S=8 L/s),使用的该泵从大方压抢到10 Pa时,其峰值压的取值相比较于不确定度度发生变化规律pvc通道无线运营中心压的变化规律拟合曲线下图1 图示,由图也需要得知,即使pvc通道无线运营中心压很高时,此刻pvc通道的流导也过大,pvc通道的峰值压p 接近取无线运营中心压p1,相比较于不确定度度很低,发生变化规律无线运营中心压的影响,pvc通道的流导也影响,相比较于不确定度度也会增加,此刻接近把pvc通道无线运营中心压取临界值峰值压就要选用了。由图也需要得知,发生变化规律pvc通道无线运营中心压的减低,相比较于不确定度度不断增加,大相比较于不确定度度到达了11.5%。
而言短pvc途径:当D=0.04 m,L=0.5 m,S=8 L/s时,选用相同台负压度泵从大气气溶胶压抽中10Pa 时,因此L/D>20,pvc途径为短管,猜测负压度泵抽速为常数,选用式(3)算起p2,其较为随机不确定度随着时间的推移套管入口通道压为的改变身材曲线如图图示2 图示。随机不确定度前景和长管时的随机不确定度前景一样的,最多随机不确定度符合了5.7 %。由图1 和图2 不错分辨,即便是当负压度泵抽速为常数,在pvc途径直经务必的情况报告下,当pvc途径的尺寸改变时,其最多随机不确定度亦發生最大的改变。

图1 对应差值发生发生变化途径喝进去的压力的发生变化线性(长管)
图2 比较随机误差发生波动渠道有压力的波动申请这类卡种曲线提额(短管)
当D=0.04 m,S=8 L/s 时,相似于把供水通道口处经济压值取值一般选择评均经济压值时,其对应数据出现偏差的原因度率伴随供水通道口处经济压值、供水通道直径的的的变化如同3 一样。从图也可以看得出来,伴随供水通道直径的的的变化,其极大数据出现偏差的原因度率也越来越增多,当L=5 m 时,极大对应数据出现偏差的原因度率满足了45%。以,如果供水通道较长,相似于取值法是不会可用的。这主要的是为了供水通道直径越长,供水通道的流导就越小,供水通道国外进口和口的压值变宽,如果再采用相似于取值法,对应数据出现偏差的原因度率也会伴随供水通道直径增多而增多。

图3 相应测量误差因为吃下压差和线路长的变
当D=0.04 m,L=1 m 时,相当于值把地埋管进口压强取数值大概压强时,其相较计算数据差值伴随着时间的推移进口压强、泵的抽速(在每个抽速下,等同于常数)的變化如同4 已知。从图行能够,伴随着时间的推移真空体泵的抽速的變化,其极大计算数据差值也慢慢的增长,当S = 100 L/s 时,计算数据差值达成了70%。故此,要是泵的抽速特别大,相当于值取值法是不会适用性的。
结合以上笔者认为,除以的粘滞流态下高压气管材的流导时,当管材较短、泵的抽速较低、在口中阻力较高时,管材大概阻力有相拟取值的相对性应粗差率较小,于己,相对性应粗差率大。之所以除以的粘滞流态管材的流导时,应给出实际原因定量分析是也可以有相拟取抽气管材在口中处阻力为大概阻力。

图4 相对来说粗差随着时间推移闸道气压和泵抽速的转变
在流导确定方式中,还可以只能会根据蒸空箱泵的抽速折线参数值化后的数组来假定在相应压强值范围图内蒸空箱泵的抽速为常数,以后选择式(2)、式(3)确定出排水管出口产品处的压强值p2,只能会根据式(1)确定出排水管的总值压强值p,再确定粘滞流态下排水管的流导,导致极大减少确定粘滞流态下排水管流导的差值。