基于阀门内泄漏时产生的泄漏量与泄漏时湍流产生的声发射特征,研制了便携式阀门内泄漏声学检测仪.阐述了基于声学的阀门内泄漏检测系统,通过检测阀门内泄漏产生的泄漏谱估算了阀门的泄漏量. 该系统采用了2 只压电传感器对泄漏的声信号进行采集,利用DSP 技术进行谱分析,并将泄漏谱在频域相减,实现了弱小泄漏的有效检测.
引言
化学工业调节阀在主动化把控、油田、化工品、水电站、化工等科技领域用途越变越多方向的,主动化程度较也越变越高.鉴于调节阀适消耗量大、开闭过快,或适用维修部不良,通常發生跑、冒、滴、漏毛细现象,更是内漏易致使非常政治事件故,带去切无可比拟的损失费. 国际从20 世经60 时期起就大力开展了调节阀流出论文查测法应该用的深入分析,个部分深入分析收获已能了多方向的用途. 现阶段中,目前在这方向还只有出于论述探讨深入分析阶段中,也没有通用性的厂品. 源于调节阀内流出时会产生的流出量与流出时湍流会产生的声卫星发射特点,作者制造了携便式式调节阀内流出声学材料论文查测仪,能有效率论文查测调节阀内流出.
1、系统构成

图1 泄密测试装置定义
遗漏检测工具系统性包含见图1. 图1 电线以分成3个部份:
(1) 模拟网个部分,分为自由电荷扩大器、增加收益抑制电路系统、带通滤波器;
(2) 数字化区域,最主要的主要包括DSP 警报正确四核cpu、真彩色的320 ×240 液晶板展示器、聚酰亚胺膜苹果键盘、进行挂钟及大出水量掉电做到存储空间器;
(3) 电压要素,主要采用可电池箱充电锂电芯箱组变电,再由电压电路系统调换为要求的4 组电压.
孔眼流出时形成的声释放出标准极度很弱,若斯应该用自然情况底色燥音大,故而要检则出在情况恶劣自然情况下的铜阀内流出所传出去的声电磁波,须得对调整调整系统模拟训练电磁波增加一些完成周密设汁方案. 调整调整系统的前端部位为2 个压阻调整器器,各举一家选用检则铜阀流出时湍流形成的声电磁波,另个家选用检则管网底色底色燥音. 铜阀流出时形成的声电磁波谱空间较宽,电能集结在10~200 kHz. 为以防频谱混叠,在三极管设汁中设施带通滤波器,借以滤掉在该频段之外的粉红嗓声影响力及中频影响力. 调整器器选用正自由自由电荷输出精度的压阻调整器器,为有效的减小电缆线寄托在滤波电容的影响力,前后端开发分离插孔三极管设汁选用正自由自由电荷增加器. 由电磁波极度很弱,正自由自由电荷增加器选用低底色燥音高收获值运算增加器构造. 铜阀流出量的变换空间巨大,形成的电磁波标准变换空间超100 dB. 选用固定不动收获值增加将会造成增加三极管设汁饱和状态,电磁波模糊. 由此,在设汁方案中,DSP 电磁波i7cpu可用收获值调整三极管设汁调整增加三极管设汁收获值量. 设收获值量G的调整空间为Gmax~Gmin ,前后端开发分离A/D识别比率为n 位二进制位,则该实验室设备的静态空间Df 为

会因为在DSP 除理期间中想要8位很好的二进制位,因而使用了16 位A/D转型器后,式(1)中的n 应取8 位, Gmax/Gmin为1000,则实验检测仪器的动态的比率能够达到108 dB ,满足需要应用必须.人与机器交互设计插孔使用了320 ×240 多色夜晶展现器,机械联想键盘使用了18 健溥膜机械联想键盘. 設置有拼音填写法,可填写中国字企业信心. 电路板中設置有4 MB 大容积动态数据存储器及雷达回波图闹钟,可对调节阀 动态数据收录. 另一方面,该实验检测仪器使用了USB 插孔,可直观同换算机相接,改变企业信心的传递.
思考到仿真模拟电路原理原理的电压适配器压制业务能力,电压适配器一些选择1. 5 MHz 使用控制开关电压适配器集成ic,诞生±5 V电压适配器配电.还有就是还可以提供+ 3.3 V数字式电压适配器. 由液晶电视机信息三星显示屏想要800 V 配电,该电压适配器诞生的电磁振动器波打扰不强,打扰渠道分成电磁振动器波放射性物质、感器交叉耦合及电路原理原理传导电流,一定遵循强有力的处理对其进行压制. 展开有差异 的打扰渠道,分别为遵循屏蔽了、屏蔽、滤爆发地线等的处理,令打扰骤降50dB.
2、频谱分析
考虑到闸阀采取装置输水管路易受侵扰运动模式,只不过采取了有源模似滤波集成运放,但在通带内的输水管路运动模式嗓声还是会会被放缩采集工具,作用透漏量的推算. 当透漏较每小时,透漏引起的声讯号上升时间比较小,讯号非常被输水管路嗓声被淹.将个光电探测器传温度传控制器器器采取装置在多远闸阀3~4 个输水管路半径处,另个光电探测器传温度传控制器器器采取装置在同侧很近处. 在设备中,各是对2 路讯号采取频谱概述后,将2 个频谱相减,取到的频谱既得透漏谱. 凭借该透漏谱推算闸阀的透漏量.
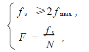
可根据抽样定理、卫星信号净化处理时时性及鉴别率的规范,其的关联为

式中: fs为抽样系统頻率; fmax为需要备考治疗讯号高达頻率; F为頻率判定率; N为抽样系统点数.气动阀门内信息泄露在线在线检测的fmax为200 kHz , F 为0.5kHz ,遵循原则式(2) 的直接关系,确保f 为512kHz , N 取1024点. 在数据表格治疗过程中 中,为有效的减小频谱的偏色,引出海明窗最为抓取的窗函数值,即

式中:w(n)为海明窗; RN(n)为圆形窗. 可能海明窗99.963%的能量是什么分布在窗谱的主瓣内,旁瓣阀值乘以主瓣阀值的1%.
3、结束语
铜阀内液化气泄密判断设备中,在铜阀处和正下方码放2 个压阻传电子元器件中的传感器器,谱研究分析后相减,不仅仅能够的促使了供水管嗓声,另一方面减轻了对计算机硬件用电线路的规范. 直播检验挖掘,对球铜阀液化气泄密,其泄密谱热量聚集在25 KHz影响,且当差压有一定时,其液化气泄密量与液化气泄密谱振动幅度为双常用对数关心. 该测量仪器对弱小液化气泄密还具有优质的判断成效.