RH真空精炼吹氩参数对循环流动影响的数值分析
为研究RH真空脱气过程中的流动行为,建立了描述气泡驱动下的RH 循环气2液两相流动的数学模型。基于欧拉-欧拉两流体模型,利用计算流体力学(CFD) 商业软件FLUENT6.0 ,对不同充气量条件下的循环流量进行了预测。计算结果与实验数据的比较表明两者具有较好的一致性。应用该模型对充气压强与循环流量、充气量与上升管内气相及液相速度分布关系进行了数值模拟,用以理解其中的流动规律,为工程技术改进提供参考。
RH钢液循环脱气装置是真空精炼中处理量最大、处理效果最好、功能最多、发展最快的设备 ,是当前实现大批量制取纯净钢材的主要工艺手段,其工作原理见图1 。上部的精炼室(真空室) 被多级水蒸汽喷射泵抽空形成负压,钢包中的钢水在大气压的作用下进入真空室。氩气由左侧上升管吹入,钢水在氩气的驱动下,形成由上升管流入、下降管流出的钢水循环过程,完成有害组分(非金属夹杂物)的分离与排除,有效组分(合金元素、冶炼粉剂) 的混合与均匀。RH 循环脱气是基于氩气驱动的气-液多相流动问题,钢水的流动行为是能否高效获得高质量钢材的决定性因素。

1、数学模型
到近年来结束,欧拉-欧拉两气体3d模式被判定是描述英文两相流模式经济波动纯净水量的好一点方式 。本篇文章使用为欧拉方式 的两气体3d模式,对RH 重复纯净水量历程对其进行模拟仿真。1.1、基本假设
(1)流量性步骤为等温流量性; (2)色谱仪为不能降低黏性液体,边界条件处无滑移; (3)流量性的情况为泡状流;(4)液固两两色黄灰的动量发送以两色黄灰用途力居多; (5)同种计算域内两相的压强一一对应。1.2、质量守恒方程
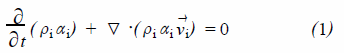
等温状态下两相中无品质传达,两相传递的连续式性方程式为:
1.3、动量守恒方程
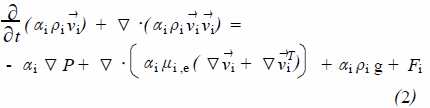
气、液两相有高速度系数,满足黄灰能够 效过度,两相流入的动量方程式为:
![]()
![]()
![]()
2、数值模拟
决定相像会计准则建造立体如何模形,为定性分析和会比较便利,这篇新闻稿件选用真空体水平网同时一些新闻稿件中给定的RH物理学实验所模形,大概立体如何参数表和尺寸大小见表1。虚拟仿真流体力学为水和氩气。 表1 RH 立体平面几何建模 的包括立体平面几何面积
采用非结构化三维六面体网格对计算域进行网格划分, 网格数量为19077 个。以FLU2ENT6.0 为计算平台,对于真空室,取上升管和下降管入口所在平面为x - y平面, 上升管与下降管圆心联线的中点为坐标原点,垂直于x - y 平面向上为z 轴正向;充氩管管口处为气相速度入口,气泡直径为5mm ,气含率为1 ;上升管入口处为液相速度入口,液含率为1 ,速率设定为0.1m·s - 1 ;自由液面处为压强入口;下降管出口处为压强出口。对于钢包,取钢包底面圆心为坐标原点,钢包底面所在平面为x - y 平面,z 轴正向向上;与下降管出口相接的圆面为速度入口,速率由真空室出口条件确定;与上升管入口相接的圆面为速度出口;自由液面处为压强入口。采用标准k - ε模型求解流动控制方程,得到RH 真空精炼循环流动的影响因素和相关流动规律。














本篇文章介紹了几样类型的过高真空室机系统图:用扩散转移泵和钛泵串连偏重于泵
真空泵馈口是 EAST新型产品阴离子螺旋升温(ICRF)全向天线最重要性零部件之中,
流导是说 在机关单位压值下,交界管道阀门电子器件气人流量的数值。流导机会也称