调节阀阀瓣型面在计算机中自动绘制的方法
2013-07-06 陈声坦 上海富地阀门有限公司
介绍了利用计算机根据已知流量系数和给定阀座直径、行程、可调比及流量特性的条件下自动绘制柱塞式调节阀阀瓣型面的方法。
1、概述
在轴向柱塞泵式调阀制定中,阀瓣的型面制定与画出马上影向调阀的调功能。一方面以老客户展示的通风途径需求量联通流量数据、阀之前之后压降、有机溶剂负荷率、通风途径实际情况等如图具体条件的选择调阀的类型的,再前提相关的原则(如GB/T17213.2-2005)确定方法步骤出与决定应用气动阀门的联通流量数据数值CV。再以GB/T17213.2绪论A的警告,可决定出单流路的缩流纵剖面的总面積和多列程的方形流路的內径,但画出阀瓣型面的确定方法步骤出量更大,纯手工达成画出更费工费时。我们推出据调阀的调功能和流体热学热学的设计原理确立语文实体模型,并利用确定方法步骤出机达成阀瓣型面画出的其中一种方法步骤,以提高调功能的误差和降低制定与制造出时间。2、依据
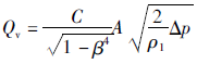
要根据伯努利式子组和连续式性式子组获得不能不收缩流体动力的重量热度式子组式,即
式中 Qv———流量,m3/min;C———流出系数,节流装置几何相似并在相同雷诺数下则其值相同;β———等效节流流路直径与管道横截面内直径之比;A———等效节流流路的面积,mm2;ρ1———入口端的介质平均密度,lb/ft3;ΔP———阀前后压降值,psi
因为创新估算,忽视紊流壮态下的C值很小转变 ,调高阀的大小视频流量Qv与A的有关为
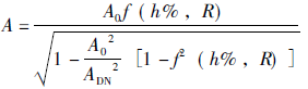
式中 Q0———最大的体积流量,USgal/min;A0———单流路的节流断面的总面积(见GB/T17213.2-2005),mm2

式中 h%———阀瓣开度,mm;R———可调比;ADN———管道横截面积,mm2
可求出出线型数据用户特质时Ax和等百分比计算数据用户特质时Ab为

3、几何模型的建立
确保闸阀人流量数值CV值后按式(3)统计公式出A0,而后跟据式(4)应对阀瓣另一阀瓣压力h%时统计公式出调低阀的阀瓣型面所演变成的等效节流流路的的面积A。是以图1右图阀门法兰封闭点处画成一种x电子束段使其与质量倾斜角为θ,时间为r。假如此点刚刚所以阀瓣压力h%时阀瓣型上的点,即此x电子束段所演变成的圆台侧的面积与A值相同,就

4、绘制过程流程图
阀瓣作图进程就像文中2如下,采用此法作图的阀瓣样式与工程测量的多种多样物料相对来说,相差很大。






