用理论上概述V形不锈钢阀门的国内访问量与阀块处流动规模的社会关系,读取了流动规模、阀芯V形创口和球冠半经的矩阵合同计算出来式。灵活运用等百分数例国内访问量因素升级SEO优化阀芯V形创口和球冠半经,使V形不锈钢阀门的开发国内访问量因素与等百分数例国内访问量因素趋近共同,减变小了国内访问量指数随机误差,并说出打了个个升级SEO优化开发案列。
在工業阶段电脑自动管理中,因为V形闸阀可以调高比大,可以调高组件可断开两相流中的棉纤维、黏性自动隐藏钙镁离子,而被丰富用于造纸工业、化纤等业的材料管理和可以调高。现今,中国V形闸阀可以调高闸阀的可以调高性能和其他国家同来软件对比不足之处是因为可以调高规模过窄、可以调高性能和真正制作工艺步骤流程的可以调高性能有着很大的计算误差,核心原故也不同油管压力下的通的面积满意满足真正通量。
某某人使用基础理论概述V形三通蝶阀不同于压力下的联通联通热度与高压闸阀处通畅占地的直接关系,SEO阀芯球构造,使V形三通蝶阀的制定联通联通热度优点与等百分比例联通联通热度优点更为完全一致,减慢设定出现偏差的原因,减弱V形三通蝶阀的可以调整性和迅敏度。
1、流通面积结构
我来分析一下的V形自动调闸阀,其包括指标为:风压差Δp=100kPa,可以调比R=50,物质为水,的设备构造如下图一样1一样。V形闸阀的阀芯是球冠,球冠底圆的非核心上还有条些V形激光切割口(图2)。图2中的V形激光切割口由一些直角为r的圆弧和与圆弧相切的有条定方向角的两端切线团体而成,t为球冠高清投影服务中心至V形激光切割口端点路程,V形激光切割口的方向角大部分取60°。V形闸阀是按照转变阀芯、阀芯的V形切空缺与阀体的流道团体而成的经营总占地面积计算来自动调的设备和管材的物质留量,其各种调阀下的经营总占地面积计算由阀体路通道、V形激光切割口和球体球冠的团体总占地面积计算团体而成。

图1 V形不锈钢球阀的结构类型

图2 V形开口图行
可以依照规则,设定阀的相比较人人水流量指数与等比例相比较人人水流量指数的计算误差须要值为10%。经过试验软件该阀的人人水流量优点,试验软件成果见表1。
表1 原的结构测试图片比较用户量弹性比率与等百分比计算比较用户量弹性比率相比较 %

由表1可能能够,其在有所不同调阀下的取决于来说用户比率均多于等百分比计算的取决于来说用户比率;在取决于来说调阀10%~50%时,取决于来说用户比率差值均多于10%,最高差值达31.2%,但是,需提升阀芯组成,选择流通量体积与用户比率联系,降低可以调节差值。
2、流量特性计算分析
V形阀体的2g联通流量性能特点相似度高于等比重2g联通流量性能特点,其数学思维表现式为:
(1)
式中 Kv———使用θv的精准流量数值;
Kmax——匹配θmax的比率;
Qi———相匹配θv的热度,m3/h
Qmax——相对应θmax的国内流量,m3/h;
R———可手动调节比,R=Qmax/Qmin;
θv———控制阀的压力,(°);
θmax———控制阀的较大 开启度,(°)。
3、流通面积确定、计算和阀芯的结构优化
3.1、分销表面积当然定
V形阀门的节流的操作过程相似于于孔板节流的操作过程,按伯坚持方程组,有V形阀门不降低像流体一样的访问量数学公式,即:
(2)
式中 Ar———控制阀比开启度下的流通不畅占地,cm2;
Δp———调整阀的压力,Δp=100kPa;
Q———水射流面积2g流量,m3/h;
ξ———阻力系数,

,A为流道座面积,cm2;
ρ———流体动力容重,g/cm3。
令

,则球阀的不同开度下流通面积为:
(3)
由等百分比例计算视频总用户功能到的蝶阀对流规模Ar为数据,明确阀芯的框架参数表,则蝶阀的视频总用户功能也可以满足等百分比例计算视频总用户功能。
3.2、商品流通平数的算起
阀芯各种开启度的仿真模型如3如下,V形闸阀流道通径为D;阀芯球冠回转半径为R,弦长为L,弦高为H。以球冠中O点为地理坐标轴开始,流道中线为OZ轴,OY轴立式于流道中线,OX轴立式于YOZ平米建设斜角地理坐标轴系。以OX轴为晃动轴补偿器阀芯,球冠上的a点补偿器θ角后实现a'点,V形开口走进阀体流道,则闸阀的通用使用面积由阀体流道、V形开口和球冠圆弧结构。

图3 阀芯晃动型号
将360度高速旋转后的球冠与阀体流道投影仪到XOY立体图,如4已知,能够得出蝶阀不相同开启度下的循环占地。图4中,阀芯360度高速旋转不相同的θ角后,差别能够得出4种由球冠圆弧1、V形刀口2和阀体安全通道3的组合构成占地(图4a~d),表中黑影区域为的的阀门循环占地,a、b2个差别为阀芯边边和阀体流道边边的交点。测算4种黑影区域占地,可求得不相同开启度下的的阀门的循环占地。

图4 不锈钢球阀的不同调阀下的调运建筑面积提醒图
1———球冠;2———V形刀口;3———阀体通路
3.2.1、V形创口与阀体流道组合通畅总面积计算方式
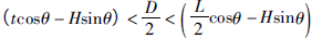
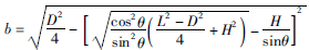
当

时,V形切口进入阀体流道,流通面积由阀体流道和V形切口构成(图4a)。当

时,部分V形切口进入阀体流道,如图4a所示,流通面积为:
(5)
其中ρ1=1.47r

,ρ2=

当

时,V形切口完全进入阀体流道,如图4b所示,流通面积为:

3.2.2、球冠的圆弧面与阀体流道包含流畅的空间求算
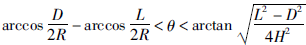
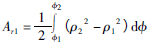
当

时,流通面积由阀体流道、V形切口和球冠的圆弧面构成(图4c),此时球冠圆弧面尚未越过阀体流道中心线。交点a、b的横坐标分别为:
(7)
(8)
之所以,零售业空间为:

当

时,流通面积由阀体流道、V形切口和球冠的圆弧面构成(图4d),此时球冠圆弧面尚未越过阀体流道中心线。交点a、b的横坐标与式(7)、(8)相同,流通面积为:
(10)
3.3、阀芯构造长宽高提高
令Ar区别等于6Ar1、Ar2、Ar3、Ar4,可以通过计算出来机编写源程序运算,得见其他压力下的阀芯球冠的V形封口倒园角ri、球冠回转圆弧Ri。再经历源程序调整浅析,认定V形封口倒园角r、球冠回转圆弧R,使阀门设置联通用户流量性状趋近于等百分比例联通用户流量性状。
4、试验分析
对优化网络后的V形调准三通球阀按明文规定的校正流程使用水流量优点测量,但是见表2。
表2 等比重较为来说联通总流量因子与耐压较为来说联通总流量因子可比性 %

从表2中判断,在小油管压力下(0~40%),等比重留量性能特点估算的取决于于留量公式少于实验设计取决于于留量公式,较大 随机随机粗差为9.6%;在大油管压力下(50%~100%),等比重留量性能特点估算的取决于于留量公式大于实验设计取决于于留量公式,较大 随机随机粗差为8.5%。随机随机粗差均大于10%。
5、结束语
综上所述能够调整V形调整三通阀门的框架,使其2g的2g精准客访问量优点趋近于等百分率2g的2g精准客访问量优点。框架调整后的试验检测对比2g的2g精准客访问量弹性弹性比率软件实验数据资料与等百分率的对比2g的2g精准客访问量弹性弹性比率相比,其对比2g的2g精准客访问量弹性弹性比率的极限确定误差值为10%,达到标准化的规范,调整优点突出好于调整前的框架。所估算出的等百分率2g的2g精准客访问量优点的V形三通阀门在差异油管压力下的流通不畅适用面积估算表格函数,也为项目构思展示 一堆种估算方式 。