静态膨胀法校准压力的温度修正
用传统方法计算静态膨胀法校准压力时,通常假设气体膨胀过程是等温的,但这与实际并不相符。考虑到气体温度变化,给出了对校准压力进行温度修正的方法。用一只满量程为133.3 Pa的绝压式电容薄膜规(ACDG)进行了校准实验,当校准室的最大温度变化为0.05℃时,温度修正前后校准曲线的最大偏移量为0.16%。
1、摘要静态膨胀法是将体积Vi和压力P。已知的小容器中较高压力的气体等温膨胀到容积已知、预先抽空的封闭大容器(校准室)中,根据玻义尔定律,可计算出校准室的校准压力Pj
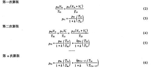
Pj=piVi/(Vi+Vj) (1) 式(1)是在假定其他汽体为等温热胀时才行公司设立。在实计的负荷进行校正阶段中,其他金属罐的体温都无法能可以重复,况且即时间再次变了规律。这类体温发生变迁规律规律概率产于自身供热系统,如相临水环真空泵泵的发烧或制冷的发生变迁规律规律,也概率是其他汽体在热胀阶段中做功引发的热能等。要始终保持佳的等温热胀基本上是无法能的,爱品生新风系统,需要要考虑体温发生变迁规律规律对静态数据热胀法进行校正负荷的导致。 2、测试设施整个研究工作是在金属膨胀式真空标准装置上进行的,如图1所示。图中VL和VR为校准室容积,名义容积均为100L ;V ,.和V,、为一级膨胀取样室容积,名义容积分别为0.1 L和1.0L ;V2a和V2b为二级膨胀取样室容积,名义容积分别为0.1L和1.0L;1~9为隔断阀;Ve为稳压室的容积;DPC7010为石英规,用于测量气体的前级压力。

在图1中VL和VR是二级膨胀校准室的容积,即阀门2一9关闭时的容积。但在一级膨胀时,阀门2或3必须打开(阀门1关闭),这样则在VL和VR上又附加了一部分管道的容积,因此将一级膨胀时校准室的容积记为V'L和VIR。图中V1a, Vlb, VL和VR上的小黑方格表示贴在容器外表面上的Pt100铂电阻温度计,V1a和V1b上各1只,VL和VR上各5只,均匀分布。
3、温度因素抓取及修复计算公式 铂功率内阻的气温计的校正延伸不敲定度为0.02℃,由计算方式机控住,可以瞬时提取的温湿度数据信息源。调校测试前,将12只铂功率内阻的气温计贴在的大铜块上,这其中有1不过由调校的铂功率内阻的气温计,放人温控箱中温控24h后,来进行核查、提取数据信息源。我们中间的主要的温湿度问题为0.05 C C,并将我们的读数来进行测量。 我也仅给于经温能够完善的效正压为差求算的计数关系式,予以温能够完善的效正压为差求算的计数关系式见参阅真空箱技术工艺网另文讲述。 3.1、一級开裂修正的函数 以气态从V1a膨涨到V1a+ V'L(这蝶阀3打开,以外关上)加以分析,4级膨涨校正表格函数给出
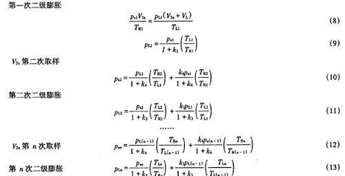
以气体从V1a膨胀到V1a+V2a十V'R(这时阀门3和5开启,其余关闭)、然后由V2a膨胀到V2a+VL(这时阀门4和5交替开启与关闭)为例,二级膨胀修正公式为:V2.第一次取样压力p.1(即一级膨胀在V'R中产生的压力)
(7)

式中k3=VL/V2a;k4=V'R/V2a;psa为第n次二级膨胀前V2a的取样压力;PLn为第n次二级膨胀后VL中的压力;TRn为第n次二级膨胀前V2a(即V'R)中气体的温度;TL。为第n次二级膨胀后VL中气体的温度。
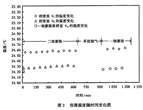
4、实践的研究将一只满量程为133.3 P a的绝压式电容薄膜规(ACDG)连接到校准室VL上,在1x10 -1~1x102Pa范围内进行校准。在1x10-1~1x102Pa压力范围内采用二级膨胀,在1x10-1~1x102Pa压力范围内采用一级膨胀。实验中采取了恒温措施,在压力校准过程中,测得校准室VL的最大温度变化为0.05℃,校准室VR的最大温度变化为0.03℃,一级膨胀取样容器V,.的最大温度变化0.05℃。VL的温度要略高于VR和V1a的温度,且VL, VR, V1a的温度都呈上升趋势,如图2所示。
















Pirani皮拉尼机械泵计的合金筒体内部人员应设一铂金细线,两端进行连接探针
黏结高压气计由相对湿度电偶高压气计和热阴离子电离高压气计分解成,电离高压气规
能够 测试气味中被电离的正离子流的多少, 明确气味的压
强。热阴离子
降低式涡流计是对U型管涡流计的重大安全事故改进方案,它是重要依据志向混合气体的波