压缩式真空计的结构及工作原理
2010-03-23 朱武 合肥工业大学
压缩式真空计是对U型管真空计的重大改进,它是依据理想气体的制成的。由于它首先是由麦克劳提出的,故此种真空计又称为麦克劳真空计(简称麦氏计)。
缩减式真空室体体计是精确测量压强远低于1Pa时用的绝真空室体体计,和从1875年距今仍看做校对各种真空室体体计的大部分分析仪器。 图1 表达为本身事情用缩短式机械泵计,它是用硬塑玻离吹制而成。由精确测量链接管管3(上边为半封闭端)、更加链接管管4 、玻离泡2 、水銀贮器1 、三通管件阀7 、与被测机械泵体统接接接的管6和读数尺5等组合而成。 为有效的减小在线误差值率,在线校正孔状管和相比孔状有用不同根孔状管剪断制做,那样可不错地增加这两者內径的透亮性。为使待测机系统学习压力差与玻离泡内的学习压力差同一,软管6会用较粗的玻离监管做,要确保其有充分的通导实力。由于压缩式真空计是依据理想气体的波义耳定律制成的,所以其前提条件是被测真空系统内的气体必须是适用波义耳定律的,否则将给测量带来误差;再者要求在测量时真空系统内压力稳定。

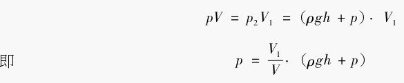
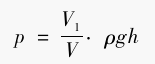
当水银面停在如图2所示的位置时,测量毛细管内的气体体积为V1,压力为 p2,而比较毛细管内压力仍为p。测量毛细管和比较毛细管液面高度差为h = h1-h 2,则测量毛细管内的压力p2= ρgh + p。根据波义耳定律可得


又因为测量毛细管压缩后的气体容积V1=(πd2/4)·h 1,经整理得


式中:p——— 待测压力,Pa; h1、h2———液面差,m; K———真空计常数,Pam-2;
与压缩式真空计高清亚洲日韩在线欧美相关的文章:














Pirani皮拉尼蒸空计的金属件圆柱内壁可设一钻石细线,两端连入金属电极
塑料进口真空系统度环境计由的温差电偶进口真空系统度环境计和热阴离子电离进口真空系统度环境计构成,电离进口真空系统度环境规
可以通过测量废气中被电离的化合物流的数值, 判定废气的压
强。热阴离子
缩短式重力作用计是对U型管重力作用计的重大项目调整,它是意义很理想废气的波