压缩式真空计的结构尺寸及平方刻度尺计算举例
试设计一台量程为1 ~ 5 × 10-4 Pa的压缩式真空计,并画出其平方刻度尺。
(1)缩短式负压计的结构长宽比的计算出来与选取 选着毛细管直径d = 0.8mm。为保证压力在5 × 10-4 Pa时有较高精度,取此时水银面高度差h = 1.5mm。
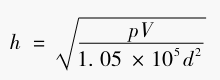
依据基础方程式式

p = 1.05 × 105× d2h2/V
即V = 1.05 × 105× d2h2/p
= 1.05 × 105×(8 × 10-4)2×(1.5 × 10-3)2/5 × 10-4
= 3.024 × 10-4 m3
取V = 3.1 × 10-4 m3。
若取长度L = 0.1m 的测量毛细管,即在水银面高度差h = 0.1m 时,该真空计测量上限pmax为
pmax= 1.05 × 105× d2h2/V
= 1.05 × 105×(8 × 10-4)2× 0.12/3.1 × 10-4
= 2.17Pa
当取h = 1.5mm 时,估测上限p min为p min= 1.05 × 105×(8 × 10-4)2×(1.5 × 10-3)2/3.1 × 10-4= 4.9 × 10-4
可见,取毛细管内径 d = 0.8mm,毛细管长度 L = 100mm,玻璃泡容积 V = 3.1 × 10-4 m3,其测量范围为2.17 ~ 4.9 × 10-4 Pa,达到设计要求。
至於要求液体量,理应考虑到大幅提升液体的方式英文,即拼接管道阀门的容量等,其总产量需要不低于 3.1 × 10-4m3,视具体化机构而定。 (2)画制平米读数尺即求出其测量范围p min~ p max(5 ×10-4~ 2Pa)内相对应的水银面距离基准线的高度差h值。根据公式



代入已知数据V = 3.1 × 10-4 m3,d = 8 × 10-4 m,则有

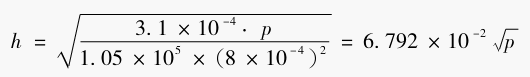
当p 1= 5 × 10-4 Pa时,则
![]()

最后把所得的p i-h i对应值,以Pa为单位刻在刻度盘上即成,但必须注意刻度尺的零点(即基准线)应与测量毛细管内顶平面持平。为了便于读数,减小测量误差,可多求出一些p i-h i对应值。
与压缩式真空计高清亚洲日韩在线欧美相关的文章:














Pirani皮拉尼真空箱计的合金材料圆筒形外部现有一白金卡细线,两端连接方式参比电极
挽回重力作用计由气温差异电偶重力作用计和热负极电离重力作用计成分,电离重力作用规
顺利通过检测有机废气固体中被电离的阴离子流的数值, 断定有机废气固体的压
强。热金属电极
再压缩式正空计是对U型管正空计的大量提高,它是理论依据不错气态的波