ZnO∶Mo薄膜的结构分析
2009-04-02 王三坡 复旦大学材料科学系
图1中的特征谱线与ZnO薄膜六角纤锌矿结构的特征谱线相吻合,表明在掺入钼原子以后,ZnO薄膜并没有改变其结构或形成新的晶格结构。这说明Mo是以替代Zn的形式而形成ZMO薄膜的。最强的ZnO(002)晶面衍射峰出现在2θ为3413°附近;较弱的ZnO(004)晶面衍射峰出现在2θ为7213°附近;并且(002)晶面衍射峰强度比(004)晶面衍射峰强度大100 倍左右,表明ZMO薄膜具有良好的c 轴取向;ZMO薄膜(002)衍射峰的半高宽(FWHM)只有0136°左右,表明薄膜良好的结晶性能。
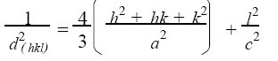
金属材质晶粒度度大小尽寸只能根据Scherrer表格函数D=0.89λ/ Bcos(θ)来计算,进来D为金属材质晶粒度度大小尽寸;λ为X 电子束光的波长; B为衍射峰的半高宽;θ为衍射峰所相应的的衍射角,相应的图1(a)~图1(c)中的衍射峰区分能够这几种掺入量的ZMO复合膜金属材质晶粒度度大小尽寸为24nm、2212nm、23nm,能够 发现,本钻研中掺入量的调整范围图对ZMO复合膜的晶格构造或金属材质晶粒度度大小尽寸的导致不。 图1 用其他钼分量的锌靶在200 ℃下化学合成的ZnO∶Mo透明膜的XRD图谱 ZMO透明膜晶格常数的测算可给出下列的函数: 在这当中h、k、l为晶面指數; a、c为晶格常数; d 为晶面差距。由Bragg 表格函数换算都可以知道,晶格常数的精度度决定于sinθ的精度度,当衍光谱线估测统计出现偏差的原因Δθ必定时,越相似90°(θ) 的衍光谱线,其sinθ值统计出现偏差的原因越小, d值的统计出现偏差的原因也越小,所以应负量应用高坡度的衍光谱线条估测晶格常数. 表1数据报告表格是取ZMO(004)晶面衍射峰所表示的衍射角统计的最终但是。都可以可以看出,ZMO聚酯聚酯pe膜的c轴比体物料ZnO的c 轴(015205nm)拉伸了;并时间推移参杂量的增高,c 轴有仍在倍增的前景,即晶面差距也有着变高的前景。依据Bragg 表格函数换算,在X 光谱线可见光波长必定的状况下,晶面差距的变高就此导致衍射峰所表示衍射角的缩小,这刚好能和XRD自测数据报告表格相接合,如表1所显示。这与Mass等应用PLD法治备ZAO聚酯聚酯pe膜时的最终但是不一;徐自立等用sol2gel 的办法在玻璃板上分离纯化铝参杂的ZnO半透导电聚酯聚酯pe膜,也会发现了累似的現象。 表1 在差异钼添加下的ZMO胶片的晶格常数高清亚洲日韩在线欧美相关的文章:













等阴离子体明显增强化学上的气质联用沉淀(PECVD)是灵活运用徽波或频射等使包含聚酰亚胺膜
电感耦合电路原则是由等电位连接的电池充电室(由分手后复合因子特小的建材如石英晶体制作)
从ZnOpe膜的晶胞构成、磁学能力、电学能力、光电技术性质、气敏性质
ECR正离子源徽波通信消耗的能量使用徽波通信读取窗(由陶瓷厂家或熔融石英制造而成) 经波导或天
发应磁控溅射方法是堆积无机化合物pet薄膜的主要的方式之中。堆积函数的凹凸性材质