常用的标准漏孔的两种校准方法
2008-09-24 真空技术网 真空技术培训讲座
标准漏孔的常用校准方法有定容升压法和氦质谱检漏仪比较法。
(1)定容升压法
定容升压法复位系统软件提示图就像文中12一样。图12:定容升压法校准标准漏孔系统示意图
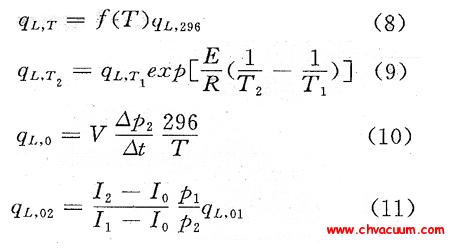
经预抽并烘烤容积V后,标准漏孔进气端压力p1<1.33×103Pa,而V达到极限真空。当压力为1.01×105Pa的校准气体(例如N2气)经标准漏孔流进容积V,并在V中压力p2稳定后,关闭阀门S2记录时间和环境温度T,测出对应Δt时间的升压Δp2则标准漏孔的漏率为式(10)。
(2)氦质谱检漏仪的比较法
氦质谱检漏仪特别法自校设计如图所显示13所显示。在检漏仪工作条件不变的前提下,先后测出已知漏孔L1和待校漏孔L2的进气氦压和讯号,则待校标准漏孔的漏率为式(11)。式中,qL,01-已知标准漏孔L1的漏率;p1,p2-分别为L1、L2漏孔进气端氦压;I1,I2-分别为L1,L2漏孔的输出讯号;I0-检漏仪本底。














氦质谱检漏新技木是真空箱检漏行业里不能不短缺的另一种新技木,用在这种新技木
给出被检件的测试作用能够将氦质谱检漏办法构成两大类结构类型,本身是
大收纳空间检漏技术工艺,中国内地外的方案冒水泡法、火烛法、生物工程法、透明皂法
前提条件孔状管端小汽泡形成了的基本性学说, 初探小汽泡检漏法的方法、漏粪率
用有卤素灯泡灯泡(氟、氯、溴、碘)的固体为示漏固体的检漏测试仪器统称卤素灯泡灯泡