低温绝热压力容器检漏系统分析
漏率是低温绝热压力容器的主要技术指标之一。准确测量漏率值是产品绝热性、可靠性和安全性评估的重要手段。从辅助真空系统设计、检漏系统有效最小可检漏率的分析、检漏仪连接位置和示漏气体的反应时间等几个方面对低温绝热压力容器检漏系统进行了论述与分析。
1、引言
高温传热经济压力收纳空间指用在放置或车辆液氢、液氧、液氦、液氩、液氮及煤气天然植物气等高温媒质的收纳空间。物品的漏率统计的指标是抓好物品平安通过的重点技巧统计的指标之四,正确校正漏率值是对该物品传性温、信得过性和平安性鉴定的很重要措施。放眼全国大区域制作制造公司对物品检漏的技术,有着查重技术不相同、漏率按量分析不正确、检漏使用率低等大问题。区域制作制造公司仅对零主件、导压管和区域管道焊接通过检漏,没有对物品出厂之前的总漏率通过按量分析查重,造为物品在通过过程中 中的平安事故隐患。 做者从软件检漏总体目标解决方案定制、配套蒸空整体定制、有郊最低可检漏率数据分析、检漏仪无线连接角度和示漏有害气体表现时刻等些方对战温度传热各种压力袋子软件的检漏步骤与步骤对其进行了浅论,旨在实验室管理标准与统一化软件的检漏步骤,确切測量软件的漏率值,保持软件正常运作的稳定与稳定可靠性指标。2、低温绝热压力容器检漏方案
2.1、检漏要求
对温度低隔热压罐体的检漏有以下的的要求。 (1)漏率指標参考真空技术网另文规定,贮存用低温绝热压力容器要求产品总漏率应小于1×10-7Pa·m3/s;运输用低温绝热压力容器的产品漏率指标应小于1×10-9Pa·m3/s。同时,要求对漏孔能定量和定位。
(2)反响时刻 在贮藏用、搬家用收纳空间等专业温度过低传热阻力收纳空间,假若检漏系统软件症状时光隔偏长,大户型的长对接焊缝检漏应势导致检漏时光隔偏长。成了变短时光隔、提供工作效率,想要不应变短检漏反映时光隔与彻底清除时光隔。 (3)有效地最少可检漏率 会按照各个部位分漏率指数公式条件,决定检漏方法步骤及测试装置的合理可行最少可检漏率。一般条件合理可行最少可检漏率应以產品漏率指数公式的1/10。2.2、检漏系统总体方案
低温绝热压力容器的几何容积通常在5m3到100m3之间,产品的漏率允许值在1×10-7~1×10-9Pa·m3/s之间,并要求对存在的漏孔能定量和定位,检漏时间短。根据产品的漏率指标及检漏要求,通常选用最小可检漏率低、能准确定位和定量的氦质谱检漏技术。由于产品容积较大,为缩短反应时间,提高检漏效率,需要采用辅助真空系统。产品检漏系统如图1 所示。检漏系统由真空辅助系统、检漏仪、标准漏孔和被检容器组成。

1,6.标准漏孔;2,5,9,10,11.真空阀门;3.低温绝热压力容器;4.真空规;7.氦质谱检漏仪;8.前级泵;12.次级泵。
图1 常温热膨胀各种压力金属罐检漏系統图2.3、辅助真空系统
2.3.1、构成的辅助真空系统具有预抽容器真空夹层、分流气体、减小示漏气体反应时间和清除时间等功能。根据低温绝热压力容器的结构、尺寸、要求和具备的检漏条件配置相应的辅助真空系统。一般的辅助真空系统由前级泵、次级泵、真空阀门、真空规及标准漏孔等组成,对于低温绝热压力容器前级泵最好为气镇式机械泵,次级泵可采用扩散泵或罗茨泵。
2.3.2、参数值会选择 检漏时,容器类代替能够漏气外,不能够解决地还老有建材撒气,若不加以协助真空体控制模式,被检件的漏气与建材撒气的总漏放气数率必须基本采用检漏仪控制模式。要为担保检漏仪能普通 岗位,应满意详细情况,即
式中p为检漏仪的工作压力,Pa;Sd 为检漏仪支路的抽速,L/s;Q0 为低温绝热压力容器真空夹层漏气速率,Pa·m3/s;ΣQi为低温绝热压力容器真空夹层材料的出气速率,Pa·m3/s。对于低温绝热压力容器而言,其漏气或出气可能很大,因此,要求辅助真空系统的抽速S为(对空气)

2.4、检漏系统有效最小可检漏率分析
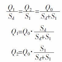
检漏系统的有效最小可检漏率决定了检漏系统可以检出的最小漏孔值,是设计检漏系统的主要参数之一。在如图1 所示的检漏系统中,假设进入低温绝热压力容器真空夹层的氦气量为Q0,其中一部分Q1 通过检漏仪的分析室,而另一部分Q2 被前级泵抽除。以图中A 点为参考点,可得到


式中Q1 为通过检漏仪分析室的氦气量,Pa·m3/s;Q2 为前级泵抽走的氦气量,Pa·m3/s;S1为前级泵抽速,L/s;Sd 为分析室支路对A 点的抽速,L/s; Sc 为分析室的抽速,L/s;pc 为检漏仪分析室的氦压力,Pa。对以上公式分析如下:
(1)由式(3)~式(6)可知,若不用前级泵时,S1=0,Q2=0,全部氦气量都通过检漏仪的分析室,即Q0=Q1,则根据式(6)有
pc= Q0/Sc(2)由式(7)可知,Sc 越小,pc 值越大,则检漏时有效最小可检漏率越低。当Sc→0,而且S1=0 时(前级泵关闭), pc→∝,这相当于停止抽氦以后,氦分压会逐渐提高,经相当长时间后,即使很微小漏孔也会检出。
(3)pc 与S2 无关,使用次级泵不能降低检漏系统的有效最小可检漏率,只能减少抽空时间和反应时间。
(4)由式(6)和式(7)比较可知,使用前级泵可使pc 下降Sd /(S2+Sd)倍。为了降低检漏时的最小可检漏率,即提高pc,可减小S1。为此,可关小前级泵阀,或选择对氦气抽速小的泵。












氦质谱检漏的技木设备是真空度检漏方向里不能不中缺的种的技木设备,用各种的技木设备
会根据被检件的测量工艺意图会将氦质谱检漏工艺可分成不同的类型,另外一种是
大收纳空间检漏工艺,在国里外的具体方法滴水泡法、火烛法、生物体法、肥皂水法
标准孔隙管端泡沫达成的几乎理论研究, 论述泡沫检漏法的机制、漏粪率
用有效卤化物(氟、氯、溴、碘)的有机废气有机废气气体为示漏有机废气有机废气气体的检漏实验室设备喻为卤化物