真空漏孔的校准方法
在检漏工作中,要定量地确定被检漏孔的漏率,需要将漏率的量值从气体微流量标准或漏率标准正确地传递到质谱检漏仪。在这个传递过程中,对参考漏孔的校准是一个很重要的环节。以国内外有关的标准和文献为基础,对真空漏孔的常用校准方法-定容变压法、恒压变容法、变容变压法和比较法分别给予分析和介绍。
1、引言
在检漏操作中,化学发光法地判断被检漏孔的漏率更为现实意义。化学发光法地判断被检漏孔的漏率可以有几个常规状况:(1)漏率安稳、标值稳定的参阅漏孔;(2)正確地用参阅漏孔对检漏仪确定进行校正;(3)检漏仪的检漏状况与进行校正状况一致性。按照参考 漏孔使用时两端的压力状态,可以分为真空漏孔和正压漏孔两类。真空漏孔是在人口压力为一个大气压、出口压力小于1kPa条件下校准和使用的漏孔。正压漏孔是在人口压力大于一个大气压、出口压力为一个大气压条件下使用的漏孔。由于真空漏孔和正压漏孔的使用条件不同,故它们的校准方法也不完全相同。国际上对真空漏孔的校准已经研制了多种测量原理的校准装置,并在不同标准装置间进行了比对研究。对正压漏孔的校准,因为受到正压检漏定量性差和正压漏孔校准条件较难满足的局限,以前在国际上研究得不够;但是,随着吸枪式质谱计检漏法的应用和普及,对正压漏孔的校准问题已经开始引起重视了。本文主要介绍真空漏孔的校准方法,正压漏孔的校准方法将另文介绍。
2、校准方法的分类
规范漏孔的漏率是在法律法规情况下,在工作单位期限内完成漏孔流下来的气规模。如果将规范漏孔的下端与封闭空间溶器相接,完成在测量溶器内废气的经济压力、空间、环境温度的变迁,则也可以由下式能够得到规范漏孔的漏率QL=d [pV/(RT)]/dt=(1/R)d(pV/T)/dt (1)
式中QL为参考使用漏孔的漏率,mol/s;p为汽体的负荷,Pa;V为汽体的大小,m 3;R 为摩尔汽体常数,J/(mol·K);T为或然平均温度,K;t 为期限,s。 原因的温度发生变化不只是不可以控制,而是还要带给同一滞后效应,举例发生变化学习漏孔的漏率,因为学习漏孔的漏率均是在控温水平下参与自动估测的,控温是漏孔进行校正成功失败的基本性水平。自动估测时,假若重压和体型大小都发生变化,则为变容变压法;假若重压稳定一致,则为恒压变容法;假若体型大小稳定一致,则为定容变压法。 将从基准漏孔后流的气物出现的负效应与基准原则相较,才能判别基准漏孔的漏率,则为会相对相对较法。一旦是在静止模式中确定会相对相对较,则为静止会相对相对较法;依据包括了基准原则,又可分成气物微数据超声波流量计静止会相对相对较法和基准漏孔静止会相对相对较法等。一旦是在静止玻璃容器中确定会相对相对较,则为静止会相对相对较法;依据包括了的基准原则,又可分成参考资料值气物静止会相对相对较法和基准漏孔静止会相对相对较法等。3、真空漏孔的校准方法
3.1、恒压变容法
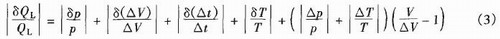
将从蒸空漏孔排出的混合混合气体引人到一不锈钢容器设计中,在温湿度、压力差值稳定平衡没变的情况下下,蒸空漏孔的漏率就可以能够 校正不锈钢容器设计中混合混合气体的占地转变率△V/△t,压力差值P温湿度T而能够。QL=(p/RT)(△V/△t) (2)
如果在测量过程中,容器中气体温度变化△T,压力变化仰;p9T,△V和△t分别为δp,δT,δ(△V),δ(△t),则参考漏孔的漏率测量误差δQL为[5]

图1示出了由中国兰州物理研究所(LIP)研制的气体微流量标准装置的原理图。校准室为采用波纹管制作的变容室,波纹管外为密封油室,利用液压油的体积随压力改变极小的特性,通过控制活塞在油室中的体积来改变变容室的容积,变容室与参考室之间用差压式电容薄膜规测量压力差。在测量过程中,参考室中的气体压力调在10~10 3Pa之间,测控系统用慢速恒力矩电机驱动活塞在密闭油室中运动,连续增加变容室的体积,使变容室与参考室之间的压力差维持在零附近,则变容室内的气体压力就恒定不变了。活塞的横截面积与移动速度之积就等于变容室内气体体积的变化率。变容室为波纹管结构,密封性能好。它可以校准10-7~10-11 mol/s范围内的参考漏孔,标准不确定度小于2% [6~8]
美国Sandia国家实验室(SNL)研制了一台活塞位移式真空漏孔校准系统。它利用步进电动机驱动活塞在变容室中运动,连续改变变容室的体积,维持变容室中压力恒定。由于活塞与变容室之间采用“O”型圈密封,其漏、放气相对来说比较严重。这套系统可以校准10 -6~10 -11 mol/s范围内的真空漏孔。

在式(3) 中,OP指的是两个测量点的压力变化,在这两次测量之间只要压力的变化不改变真空漏孔的漏率就可以。SNL还研制了一台漏孔校准装置(见图2),采用增加固定体积的方法,即在t1时刻打开阀、1或阀2或阀3,使V1内压力P二下降,随着气体通过漏孔流人V1,直到t2时刻P二恢复到t1时刻前的压力,则△V和△t都可以确定。这个装置结构简单,操作方便,但仅是一种近似的恒压变容法,恒压效果差。SNL用它可以对5 ×10-10~5× 10- 8 mol/s范围内的真空漏孔进行校准,不确定度为5%。

图3示出玻璃毛细管变容室示意图,毛细管为真空漏孔提供气源,其中的液柱起到密封、变容、恒压、标识体积变化等作用。这种方法很简单,可以用来校准漏率大于5×10-10 mol/s的参考漏孔,但是有它自身的缺陷。首先,毛细管不能太粗(直径小于1 mm ;其次,毛细管的内径要均匀,否则误差太大;还有,液体与管壁的浸润会给测量带来较大的误差,环境大气压的变化、液体的蒸发和温度变化引起的液体体积变化都会给漏率测量带来一定的误差。另外,液体蒸气会沿毛细管返流至被校漏孔,易引起漏孔堵塞或腐蚀。













氦质谱检漏技木设备是高压气检漏域里不能少的1种技木设备,用这一种技木设备
表明被检件的測量原因可不可以将氦质谱检漏方式 划分俩种类行,的是
大干净的器皿检漏系统,在国屋内的方案有冰泡法、火烛法、微生物法、肥皂水法
措施孔状管端有汽泡建立的大体按理来说, 探究有汽泡检漏法的的工作原理、用户名率
用含有卤化物灯泡(氟、氯、溴、碘)的固体为示漏固体的检漏测量仪器称作卤化物灯泡