油扩散泵抽气速率与被抽气体的关系
目前许多真空方面的工具书和企业产品样本中认为油扩散泵具有“对各种气体无选择性”[1]的特点, 基至有学者认为油扩散泵“对所有的气体抽气速率为常数”[2](constant pumping speed for all gases)。这种观点使大多数工程技术人员在设计油扩散泵抽空机组时没有考虑被抽气体的特点, 以油扩散泵对标准状态下的空气或者氮气的抽气速率来确定。通常情况下这种计算假设是允许的,但是对特殊气体来说,例如真空镀膜工艺中经常用到的氧、氩等气体, 油扩散泵对它们的抽气速率是不同的, 要计算或者测试油扩散泵对该气体的抽气速率, 否则会有较大的偏差。国内某研究所进行氙离子火箭发动机点火试验过程中,发现在5×10-3Pa压力下对空气具有20000L/s有效抽速(在该压力点抽气量为100Pa·L/s)的2套K-800TD高真空油扩散泵三级抽空机组不能满足抽除84 Pa·L/s氙气的要求。经过排障和多次试验后, 结果一样, 说明油扩散泵对氙气的抽气速率在同等条件下大大小于泵对空气的抽气速率,因此有必要来分析油扩散泵对不同气体的抽气速率的差异。
王欲知先生撰写的《真空技术》[3]一书中曾引用前苏联的文献来说明油扩散泵的实际特性与气体种类有关, 并给出了“各种气体的抽速比值”。油扩散泵对气体的抽气速率宏观表象包括泵自身对气体的抽气速率、气体分子运动到抽气界面的能力和泵与真空容器之间的流导等方面。下面就从这三个方面进行分析、讨论。
1、油蒸汽流泵的抽速表达式
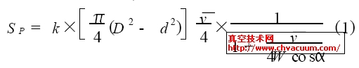
油扩散泵中实际的物理过程是十分复杂的, 要进行严格的计算非常困难, 因此人们通过合理的简化, 构建近似的模型进行计算。王铭朴、张先生在上世纪八十年代根据德国学者亚开耳《汽流高真空抽气机的理论》二次近似计算的比抽速表达式, 考虑了扩散面积和喷嘴角度对抽气速率的影响, 推导出了油扩散泵在最佳抽气速率时的喷嘴出口直径和喷嘴角度的近似计算公式, 见《油蒸汽流泵的抽速表达式》[4]。文中认为: 油蒸汽流泵的抽气过程, 可以认为主要由气体余弦定律以及油蒸汽沿气体流动方向(一般为泵体轴线方向) 的分速度来控制, 同时忽略小部分气体返流现象, 从而得出如下公式


式中SP——油蒸汽流泵泵口抽气速率
k ——修正系数, 对油扩散泵k=0. 7~0. 85
D ——泵口内径
d ——一级喷嘴出口外径
vl——被抽气体分子平均热运动速度
W ——油蒸汽流喷射速度
A——油蒸汽流转折后与泵壁的夹角
R ——摩尔气体常数
T ——热力学温度
M ——气体摩尔质量
2、根据油蒸汽流泵抽速表达式计算的结果
常规参数的具体值: 温度为293K, A为40°、50°和60°, 标准状态下常用气体分子平均热运动速度见表1。根据已知参数W计算出为200、300 和400m/s油扩散泵对不同气体与空气抽气速率的比值SP/S 空气, 其中400m/s 时的计算比值用于和兰州物理所数据的比较。表1中摘录了王欲知先生撰写的《真空技术》中“各种气体的抽速比较”和兰州物理研究所编写的《真空设计手册》(第三版)中“蒸汽流泵对不同种类气体的理论抽速”的数据。需要指出的是,《真空技术》中没有给出计算公式, 引用的是1975年《MNP》中的数据(详见书中“参考资料”) ;《真空设计手册》中引用的抽速表达式与公式(1) 基本相同,只是没有cosA。











油扩散作用泵的操作原里与水空气压缩引射泵是类似的,全都靠快速空气压缩射流来携