气体微流量标准装置期间核查方法
2009-05-29 赵光平 兰州物理研究所真空低温技术与物理国家级重点实验室
气体微流量标准是校准气体微流量的一种装置,是真空计量的基础标准之一,用于参考漏孔及气体微流量计的校准。对气体微流量标准装置采用多台平均值法进行期间核查。
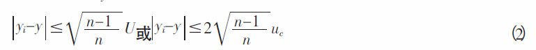
两台计算机总值值法实现3 台或3 台以上的同样水准的测试规定,对一模一样被测试或被测测试设施设备实现测试,两台计算机测试结论的总值值yi 与清查的测试规定检测值y 之差的絕對值,应实现式(2) 式中yi 为另一台估测条件进行校正数据的规则差;n 为估测条件的用户。 原作者检测室已树立的气物微的用户基准装备有恒压式气物微的用户基准装备2 台,定容式气物微的用户基准装备1 台,恒压/定容式气物微的用户基准装备1台。 对在其中1 台恒压式废气微联通手机流量规格化保护装置进行这段时间复核,备选别的3 台联通手机涡轮流量计当作复核规格化;传递信息规格化备选全球计量检定院工作的塑料膜渗氦型正空漏孔,其标称漏率临界值1.34×10-8 Pa·m3/s。在每台标准装置上对传递标准漏孔均校准6次,并计算出平均漏率值,温度为23℃。校准数据见表3。
表3 气物微访问量标准的控制系统漏率调校值 表3 中,3 台检查规范细则的漏率值都为1.33×10-8 Pa·m3/s 、1.39×10-8 Pa·m3/s 和1.34×10-8 Pa·m3/s,分別临界值1.35×10-8 Pa·m3/s,被检查规范细则的漏临界值1.28×10-8 Pa·m3/s,结合式(2)算起两者之间的差别为5.2%。恒压式有毒气体微访问量规范细则控制系统的存储不判别为10%,代入式(2)得8.2%。 前者的误差率5.2%,值为8.2%,则恒压式有毒气体微水流量细则系统设计系统的情形平常。高清亚洲日韩在线欧美相关的文章阅读:

















Pirani皮拉尼真空箱计的塑料圆罐内外部应设一白金卡细线,两端无线连接电极片
pp重力作用计由气温差异电偶重力作用计和热金属电极电离重力作用计成分,电离重力作用规
借助检测法废气中被电离的阴离子流的尺寸, 确定好废气的压
强。热负极
减少式机械泵计是对U型管机械泵计的大的提高,它是按照期望混合气体的波