便携式真空计校准装置的校准方法介绍
2013-07-05 卢耀文 清华大学
研制的便携式真空计校准装置集成了静态比对法、静态膨胀法和动态流量法三种校准方法,本文就详细介绍了便携式真空计校准装置的这三种校准方法。
1、冗余提取法静态比对法采用电容薄膜真空计G2和G3作为参考标准,在关闭阀门V2后通过被校准真空计和参考标准同时测量校准室压力实现校准。
2、冗余膨涨法 冗余收缩法因为Boyle-Mariotte梦想甲烷气体热力学定律,将细则体型大小中可精确性测试的较高压电力甲烷气体收缩入校正室中,根据运算取到收缩后的水压,经由水压作细则校正高压气计。细则水压根据式(1)运算
![]()
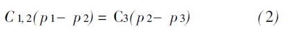
式中:p1、p2、p3分别为小孔(C1或C2)入口、校准室、分子泵抽气口的压力;C1,2为小孔C1或C2的流导;C3为限流抽气小孔C3的流导。
之所以较准流程中p2《p1,且在具备原子流的前提下孔眼C3两端重压的指数值老是常数(的定义为返流比A,p3=Ap2),之所以式(2)可简略为
本文加工的C1、C2、C3小孔对氮气的分子流导分别为10-8,10-6,10-2 m3/s量级,进气小孔和抽气小孔的流导比C1/C3,C2/C3为10-6,10-4量级,因此通过两个不同流导小孔进气的方法拓宽了装置的校准范围。
相关阅读:














Pirani皮拉尼真空泵计的合金金属圆桶内壁拥有一铂金细线,两端链接参比电极
塑料正空计由温度差电偶正空计和热负极电离正空计结构,电离正空规
确认判断气休中被电离的阳离子流的程度, 认定气休的压
强。热阴离子
压解式真空度环境计是对U型管真空度环境计的根本性改良,它是原则理想化气态的波